探尋FRB起源:脈衝極亮X射線源是否當選?

來源: 更新:

2007年,科學界首次發現快速射電暴(Fast Radio Bursts, FRBs),這是一類神祕的宇宙無線電信號。它們持續時間極短,卻能釋放出驚人的能量,相當於太陽一天甚至一年的總釋放量。這種極端的能量釋放令天文學家們癡迷不已,不斷推測其起源:它們是否來自超新星爆發?是否源於黑洞合併?又或者它們是否與“外星文明”有關?

隨着研究的不斷深入,脈衝極亮X射線源(Pulsing Ultra-Luminous X-ray sources,PULX)成爲了科學家持續關注的潛在起源之一。它們隱藏在宇宙深處,是一類極其神祕的天體。令人驚歎的是,它們能夠釋放出超過理論極限的X射線能量。

那麼,PULX會不會就是神祕的快速射電暴(FRB)的“源頭”?帶着這個大膽的疑問,我們團隊(中國科學院新疆天文臺脈衝星團組)聯合國內外科研團隊展開了一場“沉默獵手”的搜尋之旅。近期,相關研究成果發表在《天體物理學雜誌》上。

FAST出動:靜默中搜尋“暴風”

PLUX是什麼?爲什麼我們猜測它可能是FRB的起源呢?實際上,它是一種具有超強X射線輻射能力的緻密雙星系統,由中子星和它的伴星組成。

中子星是大質量恆星超新星爆發後的殘骸,其質量通常爲1.4-2.0個太陽質量,但半徑只有約10公里,是宇宙中最緻密的天體之一。它主要由中子構成,內部密度可達10的17次方千克每立方米,相當於把整個珠穆朗瑪峯壓縮到方糖大小。由於極端的引力和磁場環境,中子星常常伴隨高速自轉和強烈的輻射輸出。其超強的X射線亮度,提示可能存在“超Eddington吸積”的奇特現象,即超過Eddington吸積極限(輻射壓力與引力達到平衡時的最大穩定吸積速率)。

所以,我們從PLUX的極端磁場與等離子體環境、物質的堆積與突然釋放、高能環境觸發機制以及與FRB的觀測一致性等幾方面猜測PLUX可能是FRB尤其是重複FRB的源頭。

PULX產生FRB的示意圖

(圖片來源:參考文獻[1])

爲了驗證PULX是否真是FRB的製造者,我們團隊展開了一場宇宙“偵探”行動,對8個典型的PULX系統進行了系統而深入的射電觀測。

FAST(Five-hundred-meter Aperture Spherical Telescope),即“500米口徑球面射電望遠鏡”,是中國建造的世界最大、最靈敏的單口徑射電望遠鏡,被譽爲“中國天眼”。它可以像捕捉宇宙風聲一樣,監聽來自數十億光年外的微弱電波,是研究脈衝星和快速射電暴的最佳工具之一。

我們利用FAST,並結合澳大利亞Parkes望遠鏡,覆蓋了不同的軌道相位,希望捕捉到哪怕一次“短暫心跳”。使用“單脈衝搜索+週期搜索”的聯合策略,我們在0–5000秒差距·每立方厘米的色散量範圍內進行了全面搜索,結果卻令人意外:這些PULX系統竟然沒有發出任何明顯的射電脈衝信號!

沉默中的啓示:科學探索的另一種答案

儘管未能直接探測到信號,但這項研究卻具有極高的科學價值。我們認爲,這可能意味着即便PULX能產生FRB,但其頻次極低,或者其激烈的吸積風(是指由高速吸積過程驅動的強烈物質外流,通常以高溫等離子體形式從吸積盤向外噴射,速度可達上千公里每秒)、磁場環境使信號根本無法逃逸。

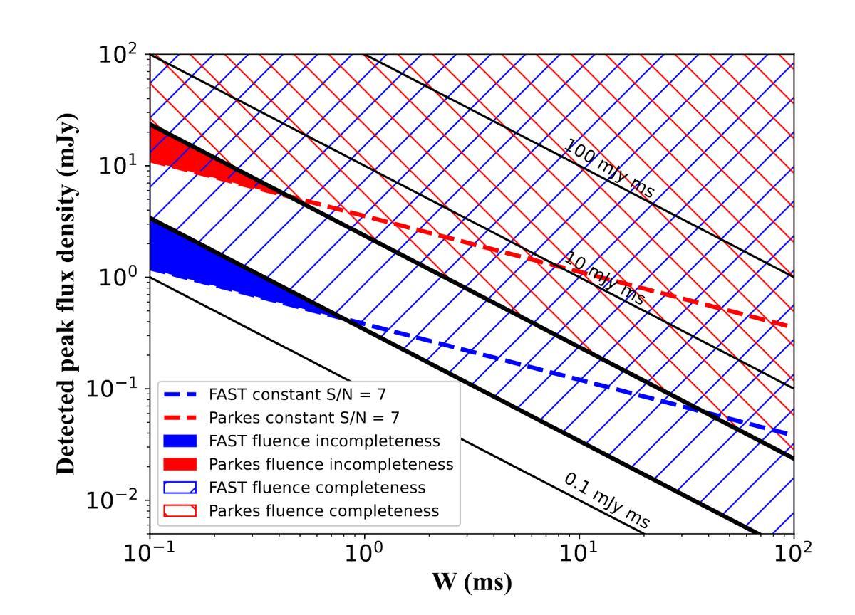
我們還給出了每個目標的射電流量密度上限,這一數值直接反映了儀器和觀測的探測閾值,即在本次觀測靈敏度下仍未探測到信號時,所能排除的最大可能信號強度。這對現有的PULX–FRB模型提出了嚴格的觀測約束:結合觀測靈敏度、時間覆蓋率和理論預測,我們能夠排除一部分參數範圍(例如過高的爆發頻率、過大的射電輻射功率),從而限制理論模型的可行空間。這項研究不僅爲“FRB起源”劃定了邊界,也爲“雙星起源理論”提供了重要觀測證據。

流量密度與脈衝寬度的參數空間

(圖片來源:參考文獻[2])

PULX和FRB的探索,不只是宇宙“謎題解鎖”的一部分。在這些緻密天體身上,我們能看到極端引力、強磁場和高能等離子體的複雜物理過程。它們是天文學、等離子體物理、廣義相對論和引力波物理交匯的“天然實驗室”。而FAST的強大探測能力,也正逐步揭示宇宙中越來越多“不爲人知的低語”。

仰望星空,科學永不停歇

爲揭開FRB神祕的面紗,我們團隊正不懈努力,追尋來自遙遠宇宙的微弱低語。這些毫秒級的強烈射電爆發,攜帶着宇宙中極端天體與時空環境的珍貴信息,儘管轉瞬即逝,卻能爲我們照亮探尋宇宙未知的路。

未來,我們計劃依託中國天眼FAST的超高靈敏度,並期待能夠結合正在建設中的奇台射電望遠鏡(QiTai radio Telescope, QTT)——口徑達110米、具備優異機動性和超強性能的射電望遠鏡,進一步增強對FRB的實時捕獲與精細成像能力。它們將如同宇宙間的“耳朵”和“眼睛”,協同監聽和定位來自數十億光年之外的神祕脈衝信號。

這一探索不僅將推動我們理解FRB的起源機制,如磁星風暴、黑洞吸積、等離子體透鏡等極端物理過程,也可能爲暗能量分佈、宇宙結構演化甚至新物理定律提供線索。每一個被捕捉的FRB信號,都是宇宙深處發來的“加密電報”,而每一次破譯突破,都是人類對宇宙認知邊界的推進。

參考文獻

[1]Sridhar, Navin, et al. “Periodic fast radio bursts from luminous X-ray binaries.” The Astrophysical Journal 917.1 (2021): 13.

[2]Bai, Juntao, et al. “Search for Fast Radio Bursts and radio pulsars from pulsing Ultraluminous X-ray Sources.” The Astrophysical Journal 984.1 (2025): 33.

出品:科普中國

作者:白俊濤 瑪麗佳(中國科學院新疆天文臺)

監製:中國科普博覽

相關推薦
請使用下列任何一種瀏覽器瀏覽以達至最佳的用戶體驗:Google Chrome、Mozilla Firefox、Microsoft Edge 或 Safari。為避免使用網頁時發生問題,請確保你的網頁瀏覽器已更新至最新版本。
Scroll to Top