美酒加咖啡,我只要喝一杯~科學家:唱得沒錯,確實戒酒!

來源: 更新:

咖啡如今已經成爲許多人生活中不可或缺的一部分,無論是爲了提神醒腦,還是作爲一種休閒的儀式感,它都深受喜愛。

每隔一段時間,關於咖啡的話題總能登上熱搜,從討論哪種豆子的風味更獨特,到分享手衝咖啡的技巧,再到咖啡對健康的研究,幾乎每次都能引發熱烈的關注。咖啡的流行不僅是味覺的享受,更是一種生活態度的體現,難怪它會成爲大衆茶餘飯後熱議的話題。

喝咖啡 (圖片來源:作者AI生成)

咖啡爲何有這麼多功效?

咖啡的主要成分包括咖啡因、多酚和膳食纖維,這些成分賦予了咖啡多種獨特的效用。咖啡因是一種天然的中樞神經系統興奮劑,能特異性地結合到腺苷受體上,抑制腺苷在大腦中的作用。腺苷是一種能夠讓我們感到疲倦的神經遞質,腺苷在大腦中的積累會增加人的嗜睡感,而咖啡因的結合阻斷了這一過程,從而提高神經元的興奮性,使人感覺精力充沛、注意力增強。

此外,咖啡因還能抑制磷酸二酯酶(PDE)的活性。磷酸二酯酶(PDE)是一種降解環磷酸腺苷(cAMP)的酶。通過抑制磷酸二酯酶,咖啡因阻止了cAMP的分解,導致cAMP在細胞內積累,進而刺激包括腎上腺素、去甲腎上腺素、多巴胺等多種激素和神經遞質的釋放。這些物質的釋放能增強身體的應激反應,如提高心率、升高血壓和加快代謝率。此外,腎上腺素還會促進脂肪分解,將脂肪酸釋放到血液中,爲身體提供額外的能量,因而咖啡能夠常被用於減脂和提升運動表現。

咖啡因攝入對人體各器官健康的影響 (圖片來源:文獻[6])

咖啡中的咖啡因具有抗炎作用,而多酚則是強效的抗氧化劑。適量飲用咖啡不僅能夠降低心血管疾病的風險,還與乳腺癌、子宮內膜癌、肝癌和膽囊癌等多種癌症的發病率和死亡率下降密切相關。

咖啡因還可以通過調節胰島素敏感性,有效降低二型糖尿病的發生風險。此外,咖啡因可以通過拮抗腺苷受體的作用,能夠減緩帕金森症中神經變性的進程。不過,雖然已有許多研究發現了咖啡的潛在健康益處,但就目前的證據,尚不支持“咖啡能預防疾病”的觀點。如感身體不適,建議及早就醫,遵循醫囑。

最近,意大利和美國的科學家更是揭示了一些關於咖啡因的全新潛力——咖啡因或許能成爲幫助戒除酒癮的祕密武器

喝咖啡真的可以幫助戒酒?

喝酒爲什麼會上癮?科學家們發現,酒精(乙醇)本身並不會直接帶來愉悅感。當酒精被攝入後,乙醇會在肝臟中代謝生產爲乙醛等物質。這些代謝產物能作用於大腦中由杏仁核、中腦腹側被蓋區和伏隔核等區域構成的“中腦邊緣通路”(mesolimbic pathway),從而促進多巴胺的大量釋放。多巴胺是一種與愉悅和獎勵體驗密切相關的神經遞質,它的釋放會帶來放鬆和愉悅的感覺,從而激發我們繼續飲酒的渴望。

中腦邊緣通路 (圖片來源:維基百科)

然而,長期飲酒會導致中樞神經系統,尤其是中腦邊緣通路在分子和細胞層面上發生適應性變化。例如,大腦中的多巴胺受體數量和敏感性可能會下降,導致個體需要攝入更多的酒精才能獲得與之前相同的愉悅感。隨着耐受性的增強,人們會逐漸增加飲酒量,最終形成對酒精的依賴。據統計,全球每年約有250萬人因酒精相關疾病死亡。

研究人員通過實驗觀察酒精和咖啡因對雄性大鼠大腦的影響 (圖片來源:參考文獻[2])

2020年,科學家們將含有咖啡因和酒精的飲料餵給雄性大鼠,驚訝地發現,咖啡因竟然讓大鼠對酒精產生了厭惡感。

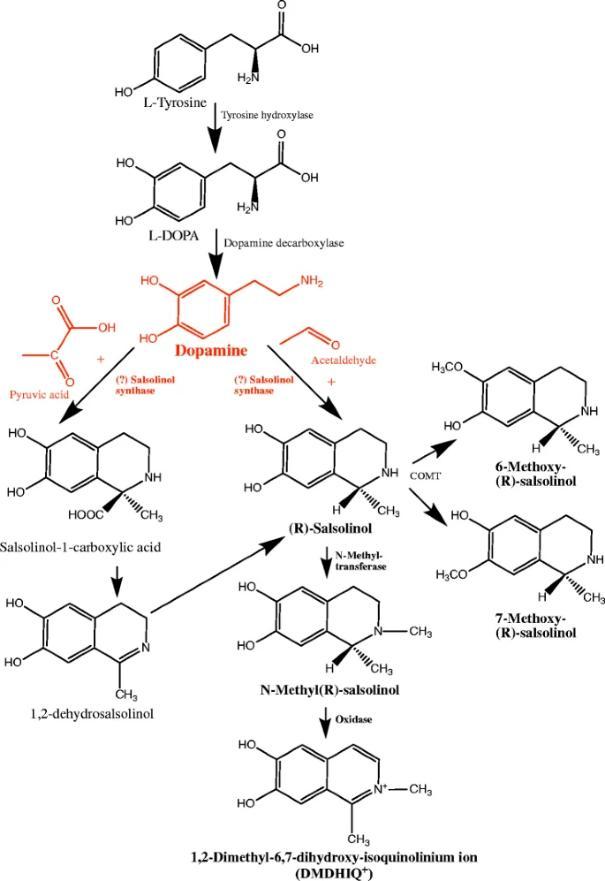
最近他們的進一步研究顯示,這種現象與咖啡因阻止酒精轉化爲去甲豬毛菜鹼(salsolinol)有關。具體來說,當酒精被攝入後,乙醇代謝爲乙醛,而乙醛在特定條件下會與腦內的多巴胺結合生成去甲豬毛菜鹼。咖啡因阻止了這一過程,間接調節了多巴胺的釋放,降低了酒精的成癮性。

咖啡因阻斷去甲豬毛菜鹼的生成過程,與美國食品藥品監督管理局(FDA)批准用於治療酒精使用障礙的藥品μ受體拮抗劑納曲酮有着異曲同工之妙,這進一步支持了將其作爲酒精成癮潛在治療方法的設想。

大腦中多巴胺和去甲豬毛菜鹼的代謝途徑 (圖片來源:文獻[3])

真的建議喝咖啡的時候加點牛奶

根據丹麥哥本哈根大學的在2023年發表在《食品化學》和《農業與食品化學雜誌》上的兩項研究表明,咖啡中加入牛奶能增強其抗炎效果。

喝咖啡加牛奶的話題成爲微博熱搜 (圖片來源:作者微博截圖)

這項研究揭示,咖啡中的多酚與牛奶中的蛋白質反應,能夠顯著提升抗炎效果。這是因爲多酚在與氨基酸結合後,能增強其抑制免疫細胞炎症的能力。其中的原理是,多酚與氨基酸的巰基反應形成共價加合物,改變了多酚分子的結構,從而增強其生物活性。

研究表明,CA-Cys和CGA-Cys等加合物在免疫細胞中的抗炎作用比單獨的多酚更強,它們通過調節免疫信號通路,如Toll樣受體和NOD樣受體信號通路,增強了免疫調節作用,並抑制了炎症因子(如TNF-α和PGE2)的產生。此外,這些加合物在調節炎症反應時表現出更強的抑制作用,表明它們在抗炎和免疫調節方面具有潛在的優勢。

多酚是天然的抗氧化劑,廣泛存在於咖啡、茶、紅酒以及水果和蔬菜中。它們通過中和體內的自由基,減少氧化應激,從而降低炎症反應。炎症是身體免疫系統的反應機制,但長期或過度的炎症會導致健康問題,如關節炎等疾病。多酚作爲強效的抗氧化劑,能有效減緩這種炎症過程。然而,關於多酚與其他分子,特別是蛋白質之間的相互作用,研究相對較少。

喝咖啡真的建議加牛奶 (圖片來源:作者AI生成)

在這項研究中,科學家們將人工引發的免疫細胞炎症與不同劑量的多酚結合氨基酸的混合物進行對比。結果表明,含有多酚和氨基酸的組合比僅含多酚的處理效果更爲顯著,抗炎能力翻倍。這意味着,當我們將牛奶加入咖啡時,牛奶中的蛋白質與咖啡中的多酚反應,可能有效增強抗炎效果。

此外,類似的反應可能不僅發生在咖啡加牛奶的組合中,其他含蛋白質的食物與含多酚的水果、蔬菜、茶等也可能會產生類似的健康效益。

咖啡的其他作用

事實上,咖啡在營養流行病學中是一種非常有趣的研究對象,因爲通常一個人要麼每天喝咖啡,要麼完全不喝,這使得相關研究的數據準確性較高。因此,圍繞咖啡對人體影響的研究層出不窮。

咖啡中富含的多酚類化合物 (圖片來源:作者AI生成)

近日,美國哈佛大學的研究團隊對來自英國、美國超過2.2萬人的醫療數據,以及其他研究隊列中超過5.4萬人的公共數據進行了分析,發現除了咖啡因對神經系統的顯著影響外,咖啡中富含的多酚類化合物(如綠原酸和奎寧酸)還對消化系統具有獨特作用。

研究團隊根據個體的喝咖啡習慣將人羣分爲三組:高攝入組(每天飲用約3杯以上)、從不攝入組(一個月飲用不超過3杯)、適量攝入組(介於兩者之間的適中飲用量)。

溶糖勞森桿菌的顯微鏡照片 (圖片來源:文獻[5])

隨後,研究人員藉助多組學分析、機器學習等手段分析了不同人羣的腸道菌羣與咖啡飲用量的聯繫。腸道菌羣就是生活在我們腸道內的微生物羣落,在人體的新陳代謝過程中起着關鍵的調節作用。

結果顯示,攝入量“高”和“適量”的人羣,其腸道微生物組與“從不”攝入咖啡的人羣相比,組成上存在顯著差異。

總體來看,腸道中絕大多數微生物的數量隨着咖啡攝入量的增加而顯著上升。其中,不同人羣差異最大的是一種名爲溶糖勞森乳桿菌(Lawsonibacter asaccharolyticus)的細菌。溶糖勞森乳桿菌是一種耐酸耐膽汁的益生菌,能在腸道中存活並促進有益菌羣的生長。它通過平衡腸道菌羣、增強免疫功能和改善腸道屏障,幫助預防腸道感染、緩解腹瀉和便祕等問題。

在喝咖啡的人羣中,這種益生菌的水平約是不喝咖啡人羣的8倍。這可能對人們的健康產生深遠的影響。

結語

儘管許多研究表明咖啡對健康具有積極作用,但其益處的發揮依然取決於適量飲用以及個體差異的具體情況,不妨期待未來更多研究揭示咖啡背後的健康奧祕,幫助我們更深入地認識這杯平凡又不簡單的日常飲品!

參考文獻:

[1] Deehan G A, Brodie M S, Rodd Z A. What is in that drink: the biological actions of ethanol, acetaldehyde, and salsolinol[J]. Behavioral Neurobiology of Alcohol Addiction, 2013: 163-184.

[2] Bassareo V, Maccioni R, Talani G, et al. Receptor and metabolic insights on the ability of caffeine to prevent alcohol-induced stimulation of mesolimbic dopamine transmission[J]. Translational Psychiatry, 2024, 14(1): 391.

[3] Kurnik M, Panula P, Bugajski A, et al. Salsolinol: an Unintelligible and Double-Faced Molecule—Lessons Learned from In Vivo and In Vitro Experiments[J]. 2017.

[4] Manghi P, Bhosle A, Wang K, et al. Coffee consumption is associated with intestinal Lawsonibacter asaccharolyticus abundance and prevalence across multiple cohorts[J]. Nature Microbiology, 2024: 1-15.

[5] Sakamoto M, Iino T, Yuki M, et al. Lawsonibacter asaccharolyticus gen. nov., sp. nov., a butyrate-producing bacterium isolated from human faeces[J]. International Journal of Systematic and Evolutionary Microbiology, 2018, 68(6): 2074-2081.

[6] van Dam R M, Hu F B, Willett W C. Coffee, caffeine, and health[J]. New England Journal of Medicine, 2020, 383(4): 369-378.

[7] Poojary, Mahesha M., et al. "Covalent bonding between polyphenols and proteins: Synthesis of caffeic acid-cysteine and chlorogenic acid-cysteine adducts and their quantification in dairy beverages." Food Chemistry 403 (2023): 134406.

[8] Phenolic Acid–Amino Acid Adducts Exert Distinct Immunomodulatory Effects in Macrophages Compared to Parent Phenolic AcidsArticle link copied!

出品:科普中國

作者:Denovo

監製:中國科普博覽

相關推薦
請使用下列任何一種瀏覽器瀏覽以達至最佳的用戶體驗:Google Chrome、Mozilla Firefox、Microsoft Edge 或 Safari。為避免使用網頁時發生問題,請確保你的網頁瀏覽器已更新至最新版本。
Scroll to Top