因爲多拷貝了幾份基因,它成了飲酒之王!

來源: 更新:

想象一下,如果讓你在接下來的七天裏不喫任何固體食物,也沒有其他飲料可供選擇,只有一種高達80%濃度的酒精溶液陪伴着你,你會有怎樣的變化?

在接下來的日子裏,你會感受到酒精從喉嚨燒入胃部,甚至可能昏迷。你的肝臟會像機器般瘋狂運轉,試圖分解這些酒精,而乙醛(酒精代謝的中間產物)卻在你的體內積累,像“毒藥”一樣侵蝕着你的器官。

僅僅一天,你可能已經開始嘔吐、頭暈、神志不清。到了第二天,你的肝臟功能可能已經嚴重受損。一個星期?不必想象,因爲你很可能早已倒下。

聽上去像是一場可怕的極限挑戰,但在昆蟲世界中,東方胡蜂(Vespa orientalis)竟然以一種超乎想象的方式完成了這項“實驗”。相關的研究成果於2024年9月發表在《美國國家科學院院刊》(PNAS)上。

論文成果 (圖片來源:PNAS官網)

東方胡蜂竟會偷喝人類的酒精飲料

東方胡蜂(Vespa orientalis),又稱東方大黃蜂,是膜翅目胡蜂科的一種昆蟲。其體長約14-18毫米,體色主要爲棕黃色,腹部具有明顯的黃色條紋。

東方胡蜂 (圖片來源:inaturalist)

索菲亞·布切布蒂(Sofia Bouchebti)是一位動物行爲生態學家,多年來專注於昆蟲與環境壓力的適應關係。她的研究始於一次田野考察,當時,她觀察到東方胡蜂對腐爛水果和人類遺棄的酒精飲料表現出異常的興趣。“它們似乎不僅能承受這些環境,還能從中獲益,”索菲亞回憶道,“這是非常不同尋常的。”

昆蟲對水果的興趣 (圖片來源:Eran Levin)

通常,大部分動物只會攝入低濃度的乙醇。酒精熱量高,每克7卡路里,比糖的4卡路里高近一倍,對身體也有毒性,攝入過量可能會引發神經系統紊亂甚至死亡。世界衛生組織(WHO)明確指出“沒有安全的酒精攝入水平”。

東方胡蜂的酒量到底有多大?

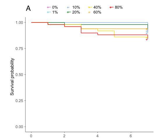
爲了弄清東方胡蜂到底有多能喝酒,索菲亞及其團隊設計了一個實驗。他們準備了2000餘隻東方胡蜂和歐洲蜜蜂,在實驗室中爲它們準備了含有不同濃度乙醇的糖水溶液,糖水溶液是通過將乙醇溶液按一定比例加入到50%的蔗糖溶液中製成的酒精濃度從1%到80%不等的甜酒。

科學家們持續觀察它們的行爲和生存狀況,最初以爲40%的酒精濃度就足以讓它們失去行動能力,甚至死亡。但結果是它們不僅存活了下來,還在80%的酒精中表現得比預期更活躍。

實驗數據顯示,在80%乙醇濃度的環境中,黃蜂的生存率達到95%以上,且它們的築巢行爲(如構建蜂巢的速度和規模)與對照組(無乙醇糖水)並無顯著差異。很明顯,甜酒中的高濃度乙醇對它們的日常活動影響極小,喝完酒該幹活還是可以幹活。

東方胡蜂工蜂對乙醇的耐受性極強,即使在高濃度環境下(80%),其生存率也沒有顯著降低。

(圖片來源:文獻1)

相比之下,同樣參與實驗的歐洲蜜蜂卻難以承受這樣的挑戰。蜜蜂在攝入高濃度甜酒後,行爲變得極爲不穩定,它們的翅膀顫抖,運動變得遲緩,就像被蒙上了無形的枷鎖,最終在24小時內大量死亡。

東方胡蜂對高濃度乙醇表現出極強的耐受性,而蜜蜂在類似條件下表現出較低的生存能力,說明兩者的代謝機制存在顯著差異。

(圖片來源:文獻1)

東方胡蜂爲什麼這麼“能喝”?

科學家使用了一種特殊的標記——“13C1標記乙醇”同位素。簡單來說,就是給乙醇加了個“追蹤器”,這樣就可以觀察這些乙醇在黃蜂體內的代謝路徑。

科學家們發現,在高濃度乙醇環境下,黃蜂的乙醇脫氫酶(NADP+)活性顯著增加。乙醇脫氫酶是一種負責分解乙醇的關鍵酶,它首先將乙醇分解爲乙醛(一種中間代謝產物),乙醛再進一步被轉化爲乙酸(即醋酸),最終進入體內的代謝循環,成爲能被身體利用的無害物質。尤其是在80%乙醇濃度下,乙醇脫氫酶的活性比低濃度組提高了約3倍。

通過研究,科學家們很快鎖定了答案——基因多拷貝。科學家使用tblastn方法對乙醇代謝酶的基因在東方胡蜂及其它胡蜂屬物種中的複製情況進行了分析。

tblastn是一款基於BLAST(Basic Local Alignment Search Tool)的生物信息學工具,用於在覈酸序列數據庫中搜索與特定蛋白質序列相匹配的區域。科學家們通過序列比對分析,確認了乙醇脫氫酶基因的多拷貝現象,這些基因位於同一染色體上。而這一切推測可能是串聯複製事件(Tandem Duplication)導致的。

串聯複製事件是一種基因組重組現象,指基因的一段DNA序列被重複複製,並插入到原位,形成多個連續排列的基因副本。這些基因副本通常位於同一條染色體上,彼此緊密相鄰,像“串聯”起來一樣,因此被稱爲串聯複製。

正是因爲東方胡蜂體內的乙醇脫氫酶基因多拷貝了幾份,大大增強了乙醇分解速度,使其不僅提高了高濃度乙醇的耐受性,還將其作爲能量來源。

東方胡蜂 (圖片來源:Wikipedia)

昆蟲的基因組中常出現基因多拷貝現象,尤其是在面對外部環境壓力如抗蟲劑的使用或環境中毒素積累時。例如,棉鈴蟲的抗蟲劑耐受性與其體內抗毒酶(如P450酶或乙酰膽鹼酯酶)基因的多拷貝直接相關。

昆蟲之所以比其他生物更容易通過基因多拷貝現象適應環境壓力,是因爲其繁殖速度快、種羣規模大、突變和基因多拷貝更容易在種羣中發生和保留。此外,昆蟲的基因組相對較小且簡單,增加了基因多拷貝事件的發生率。

東方胡蜂的喝酒水平到底排第幾?

根據現有的研究,樹鼩被認爲是對乙醇攝入適應性最高的脊椎動物,它們在自然棲息地中定期食用乙醇濃度高達3.8%的食物而沒有明顯後果。然而,在實驗室條件下,長期攝入10%濃度的乙醇會在14天內引發嚴重的肝損傷。

在無脊椎動物裏,果蠅在此之前被認爲是最厲害的。果蠅在攝入4%以下濃度的乙醇時不會表現出負面影響,但超過這一閾值的濃度會顯著增加死亡率。相較之下,東方胡蜂在實驗中能耐受高達80%的乙醇濃度,這在其他動物中極爲罕見。

東方胡蜂的研究揭示了昆蟲適應酒精的機制,以及基因、環境壓力和進化之間的複雜關係,這引發了關於人類基因潛力的思考,通過研究這些隱藏在自然界中的“小怪物”,科學家試圖揭開酒精代謝的祕密,探索基因與環境協同進化的軌跡。

參考文獻:

[1]Bouchebti S, Gershon Y, Gordin A, et al. Tolerance and efficient metabolization of extremely high ethanol concentrations by a social wasp[J]. Proceedings of the National Academy of Sciences, 2024, 121(44): e2410874121.

出品:科普中國

作者:蘇澄宇

監製:中國科普博覽

相關推薦
請使用下列任何一種瀏覽器瀏覽以達至最佳的用戶體驗:Google Chrome、Mozilla Firefox、Microsoft Edge 或 Safari。為避免使用網頁時發生問題,請確保你的網頁瀏覽器已更新至最新版本。
Scroll to Top