增肌必喫的3類9種食物!越喫越硬!

來源: 更新:

原創 索索隊長 FitEmpire健身領域

本文科普下增肌應多喫健康食物,有的高蛋白、有的增加睾酮!索隊這次做好了食物分類,全文約2700字,請點贊+收藏+轉發

主題:增肌、營養、飲食。

很多人確實認真苦練了一段時間,結果肌肉沒有想象中的增長,看着非常乾癟,非常苦惱。

其實,多數人的問題並不在訓練,而是喫

那麼,索隊今天就來介紹9種增肌必喫的食物,讓你肌肉暴增!

索隊出品,智商稅終結者。

等不及了,索隊要發車了!今天的車速比較快,大家慢慢閱讀!

本文內容僅代表作者觀點,與公司立場無關。文章僅用於和讀者交流、知識普及,不作爲疾病診治建議,部分專業詞彙僅爲引用專業知識,配圖來自互聯網和AI,侵刪。


蛋白質類


雞蛋=完美增肌食物

在索隊看來,雞蛋就是完美食物!

1、雞蛋的營養配比很均衡、好消化,價格也非常實惠。

2、一個大雞蛋能提供6克完整蛋白質和所有必需氨基酸,比例恰到好處。

2011年11月發表在《國際運動營養與運動代謝雜誌》的一篇研究表明,全蛋對於促進肌肉蛋白質合成(MPS)特別給力,同時還能有效促進肌肉質量的增加。

3、但是,雞蛋裏主要促進合成代謝的營養素,大多數都在蛋黃裏。

4、雞蛋還是維生素B族的優質來源,這類維生素對肌肉細胞的能量代謝至關重要,兩個大雞蛋就可以提供你每天所需維生素B12的一半了!

5、另外,蛋黃是食品中爲數不多的維生素D天然來源之一,而維生素D可以促睾、增肌、增強恢復

蛋黃是好東西,最好連蛋清一起喫,且一定是煮熟了再喫!

大家可以看下索隊的視頻,幫忙點贊留言:蛋白粉and雞蛋如何選?

可以說,雞蛋=增肌蛋白質+增肌優質脂肪+增肌維生素+促睾營養。

所以,想要讓雄激素更健康、更“硬”,雞蛋是必須喫的。

健康的睾酮也對增肌、減肥大有幫助,畢竟睾酮是最直接的蛋白質合成激素。

如果對睾酮健康、促睾方法等內容感興趣的,不妨來參加索隊的《20種科學促睾課》。

牛肉=優質蛋白質來源

牛肉是優質蛋白質的極好來源,它含有正確比例的所有必需氨基酸,是增肌的完整蛋白質來源,100煮熟的牛肉,就能提供25克以上的優質蛋白。

牛肉不僅蛋白質含量高,還自帶大量的肌酸、B族維生素以及鐵和鋅等微量營養素

●肌酸可以增強細胞中的能量傳遞,提高力量、爆發力和運動表現。

●牛肉也是鐵和鋅的良好來源,其中鐵對於把氧氣輸送到肌肉至關重要,而鋅則支持蛋白質合成和免疫功能。

當然了,如果你是嚴格控制飲食的那一掛,建議選擇更瘦的部位,以最大限度地提高蛋白質,同時最大限度地減少飽和脂肪的攝入。

牛奶=超級增肌液

牛奶是最高品質蛋白質的豐富來源,既有乳清蛋白也有酪蛋白

1、乳清蛋白可以被迅速消化和吸收,能爲你的肌肉提供迅速的氨基酸補給。

2、酪蛋白則相反,是一種消化緩慢的蛋白質,可以在更長的時間裏源源不斷地釋放氨基酸,可以連續好幾小時默默支持肌肉修復和生長。

喝牛奶,相當於同時補充兩種優質蛋白質,還能獲得大量身體所需的所有的必須氨基酸。

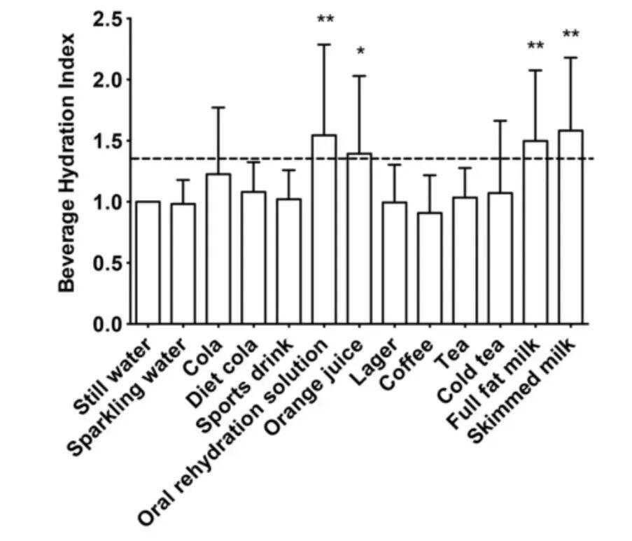
3、牛奶用於練後的水分補充就很不錯

2016年3月發表在《美國臨牀營養學雜誌》的一篇研究顯示,牛奶的補水效果甚至比白水和一些電解質補水飲料都更勝一籌。

常用和市售飲品的水合作用指數(越高越好)

總之,對於運動員來說,牛奶就是“液體黃金”,非常適合增肌期喝。


碳水類


燕麥=全面增肌雜糧

燕麥,具有豐富的纖維含量、低升糖指數、可觀的蛋白質含量、豐富的微量營養素和多功能性,所以可以說是增肌必喫碳水之一。

而喫燕麥也有很多種方法,比如“索隊牌高蛋白酸奶碗”,既能補充蛋白質,飽腹感又很充足。

重播
播放
00:00 / 00:00 直播
00:00
進入全屏
50
    點擊按住可拖動視頻

    而除了這些,燕麥還富含很多必需的維生素和礦物質,比如鎂、鋅、硒、銅和鐵。

    不僅如此,燕麥還富含大量的膳食纖維,尤其是一種叫做β-葡聚糖的纖維,和很多健康益處相關,比如降低膽固醇水平、改善免疫力和更好的血糖管理等等,可以參考:7種心臟健康食物!因爲這個成分實在太好了!(可惜很多人還不知道)。

    土豆=補鉀雜糧

    一箇中等大小的土豆,大約能夠提供你每日維生素C推薦攝入量的16%,維生素B6的8%,而且鉀含量比同樣大小的一根香蕉還要多大約40%。

    當然了,土豆還能給你的肌肉準備好下一次訓練所需的碳水化合物,一箇中等大小的土豆,含有接近30克的複合碳水。

    土豆也是非常棒的訓練後餐選擇,當然練後也要補充其他必要的營養成分

    重播
    播放
    00:00 / 00:00 直播
    00:00
    進入全屏
    50
      點擊按住可拖動視頻

      藜麥=完整營養雜糧

      藜麥的營養價值相當能打,它能提供相當充足的優質碳水,幾乎跟米飯或者意麪差不多,但蛋白質還更多。

      而且更妙的是,藜麥中的蛋白質是一種完整的蛋白質


      水果類


      香蕉

      對於健身愛好者來說,所有水果都是很棒的碳水來源,但香蕉有點特別

      它的碳水比很多其他水果都高,而且同時還含有葡萄糖、果糖和蔗糖等單糖,已經相當數量的複合碳水(具體多少取決於成熟度)。

      除此以外,香蕉還含有鉀、維生素B6、維生素C、錳等必需微量營養素。

      尤其是鉀,一根香蕉通常富含450毫克的,有助於避免運動過程中抽筋和改善肌肉收縮。

      總而言之,香蕉是一種非常方便便攜的加餐,自帶“天然外包裝”,無論是去健身房路上,還是兩餐之間需要快速補充能量,可以馬上食用。

      藍莓

      藍莓富含多種抗氧化劑,具有強大的抗氧化能力,通常被認爲是所有常見水果和蔬菜中抗氧化水平最高的一種。

      這些抗氧化劑可以中和自由基,特別是在劇烈重量訓練後,對於肌肉修復和增強力量至關重要。

      比如,2012年6月發表在《國際運動營養學會雜誌》的一項研究發現,在鍛鍊前後食用藍莓可以加速恢復,主要是因爲藍莓中存在的生物活性化合物可以在分子水平上減少對肌肉組織的損傷,從而減少鍛鍊後的痠痛和疲勞。

      尤其是當你需要連續幾天訓練,而痠痛容易拖後腿時,喫點藍莓就非常管用。

      蘋果

      蘋果的“果張力”特別低,其實蘋果真的是非常好的增肌水果。

      蘋果富含槲皮素、多酚等豐富的抗氧化劑,具有強大的抗氧化和抗炎能力,能夠減輕肌肉痠痛和疲勞,通過對抗自由基,還可以減少劇烈運動造成的肌肉損傷,從而加速肌肉修復與增長。

      再加上蘋果豐富的水分和天然的碳水化合物,非常適合作爲練後補充。


      最後:索隊課程免費報名中


      當然了,必要的學習也是要進行的。

      《20種科學促睾課》,教大家科學促睾、增強雄激素、增加肌肉。

      《減肥營養一課通》,系統講解如何減肥、搭配飲食。

      《減脂保肌課》,講解如何減肥、保護肌肉,減少肌肉浪費!

      相關推薦
      請使用下列任何一種瀏覽器瀏覽以達至最佳的用戶體驗:Google Chrome、Mozilla Firefox、Microsoft Edge 或 Safari。為避免使用網頁時發生問題,請確保你的網頁瀏覽器已更新至最新版本。
      Scroll to Top