血壓高,要先控制“心率”?如果心跳不高於這個範圍,不用太擔心

來源: 更新:

張大爺患高血壓有多年時間,平時一直服藥控制血壓,血壓控制的還算穩定。他的心率一直偏高,處於90次/分鐘左右的狀態,但他沒太當回事,覺得血壓控制好了就行。

然而,上週他因爲突發心梗而進了醫院,好在送醫的時間及時沒有留下嚴重後果。後來醫生告訴他,高血壓不能單單隻控制血壓,心率控制不好同樣會引起心血管意外。

出了這次的事情後,張大爺再也不敢掉以輕心了,日常監測心率過高都會及時去醫院進行相關診治。

一、北大研究:心率超過這個數,高血壓死亡風險上升

很多高血壓患者同時伴有心率加快的問題,而心率過快是心血管危險因素中非常常見的一個,對心血管事件發生以及死亡風險增加均有影響。對於高血壓患者而言,管理心率也非常重要。

心率過快會與高血壓形成惡性循環,且會讓患者的動脈粥樣硬化病程加速,容易引起血脂異常、肥胖、胰島素抵抗等代謝問題,進一步增加腦中風、冠心病、心力衰竭等心血管事件發生的概率。

根據《中國高血壓患者心率管理多學科專家共識(2021年版)》中提醒,如若家庭測量心率多次超過75次/分鐘,則可以認爲是心率增快,一旦心率超過80次/分鐘,就要及早干預治療。

既然如此,高血壓患者的心率控制在什麼範圍比較合適呢?

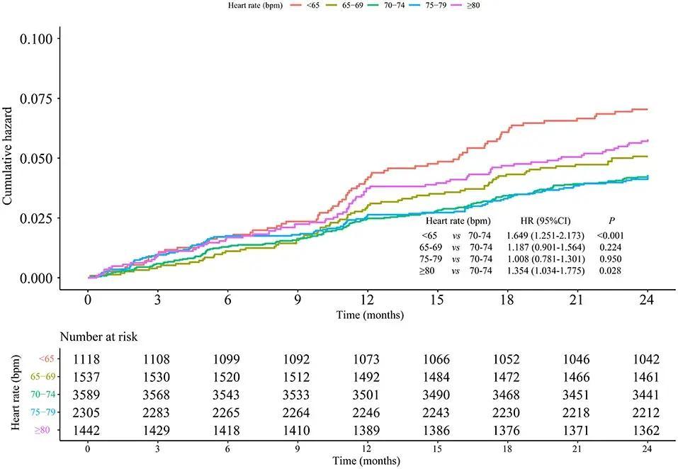
北京大學人民醫院孫寧玲教授等研究人員發表在Front Cardiovasc Med上的一項研究,納入了全國21個城市的110家高血壓中心的超1萬多名高血壓患者的數據,根據其降壓治療前的心率分爲5組,分別是心率<65 次/分、65 - 69 次/分、70 - 74 次/分、75 - 79 次/分以及≥80 次/分。

不同心率的高血壓患者,發生不良心血管事件的風險變化

經過兩年的隨訪後發現,高血壓患者心率保持在72次/分時心血管不良事件的發生風險最低。當心率<65次/分以及≥85次/分,主要心血管事件風險會明顯增加,尤其是在年齡>65歲以及男性身上,風險增加更爲明顯。

同時,該研究還指出,高血壓患者把心率控制在65-79次/分時,發生不良心血管事件的風險比較低。

因此,高血壓患者一定要持續監測心率,對改善預後有非常重要的意義。

此外,還有部分高血壓患者會合並有其他疾病,對於這一類高血壓患者而言,心率控制的目標也有所不同。

  • 高血壓合併左心室射血分數下降的心力衰竭患者,建議將心率控制<70次/分;
  • 高血壓合併心房顫動的患者,建議初始心率控制目標<110次/分。在這個範圍內症狀仍然明顯的話,要進一步將心率控制在80~100次/分;
  • 高血壓合併糖尿病的患者,靜息心率應控制在60~70次/分;
  • 高血壓合併心衰的患者,靜息心率應控制在60~69次/分;
  • 高血壓合併穩定冠心病的患者,靜息心率應控制在55~60次/分;
  • 高血壓合併急性主動脈夾層的患者,靜息心率應控制在50~60次/分;
  • 合併有動脈硬化的老年人,不應將心率控制的過低。

二、高血壓患者心率增快,多與3個原因有關

高血壓患者心率加快受多種因素的影響,比如喝濃茶、咖啡、情緒激動、睡眠質量不好以及發熱等因素,都可能會引起心率增加,這種是屬於生理性因素所引起的心率增加,但在影響因素去除後,心率即可恢復正常。

其次,還可能與平時喫的藥物有關,比如長期服用硝苯地平、氨氯地平、非洛地平、氨茶鹼、多索茶鹼、阿托品等藥物時,容易引起心率加快。

最後高血壓患有心包炎、心梗、心肌病以及心肌炎等心臟疾病或是甲亢、貧血等疾病時,也會出現心率加快的表現。

高血壓患者平時要多留心自己的靜息心率,當身體出現以下5個症狀時,可能是心臟發出的求救信號,一定要儘早檢查。

1、呼吸困難

在心臟泵血功能異常時會導致各個部位供血不足,其中就包括肺部,會引起呼吸困難的症狀出現。尤其是在輕微活動、夜間突然憋醒時,都是在提示心臟功能下降。

2、持續疲勞乏力

當心功能下降,會導致身體各個部位無法得到充足的營養,進而引起疲勞症狀出現,無論怎麼休息也無法緩解。

3、心跳異常加速

在無緣由的情況下,心跳莫名加速很可能是心臟功能下降所致,部分患者還會伴有胸悶、氣短症狀。

4、胸痛/胸悶

疼痛和不適多會出現在胸骨後、左肩以及左臂等處,可向下頜、背部放射,還可能會出現噁心、嘔吐、出汗等伴隨症狀。

5、身體水腫

心臟功能減退,會導致血液循環受阻,大量的水液堆積在體內無法正常代謝,會形成水腫表現,最早會出現在下肢,隨着病情發展逐漸發展至全身性水腫。

三、高血壓患者發現心率增快,做好4點有助減速

高血壓患者出現心率加快也別過於緊張,日常只需要做好這幾點,就可以幫助心率下降。

1、堅持規律運動

堅持進行運動可讓心功能得到良好的鍛鍊,對心率下降有積極意義。有研究發現,堅持進行3個月運動即可讓心率下降4~5次/分。建議運動要長期堅持,每週進行至少3~5次運動,每次20~60分鐘。

可選擇的運動有很多,如慢跑、羽毛球、太極拳、游泳等,運動過程中保持比靜息心率快20次/分鐘左右即可。

2、保持合理體重

體重越大的人體內脂肪就越豐富,心臟爲了滿足身體需求需要加大負擔泵出更多的血液,時間長了會導致心臟功能損傷、血壓上升。所以,超重的高血壓患者一定要儘快減重,及時管住嘴、邁開腿。

3、自我調節情緒

人在恐懼、激動、焦慮等情緒下,會導致交感神經興奮,進而讓心率加快。日常要學會調節自己的情緒,保持情緒穩定,可以嘗試多與人溝通讓自己張弛有度,不要一直處於負面情緒下。

4、進行藥物干預

在改善生活方式後,心率仍然無法下降的話,則要及時去醫院尋求醫生的幫助。在醫生指導下進行相關的藥物治療,讓心率下降。

高血壓患者需要控制的不僅僅只有血壓一個指標,對此一定要明確,發現心率、血糖等指標異常上升要及時就醫。


參考資料:

[1] 《有高血壓,心率65~79最好!孫寧玲等多中心研究》. 中國循環雜誌 2021年12月21日

[2] 《高血壓患者心率過快 如何處理》.保健與生活雜誌 2023年11月22日

[3] 《心跳太快,消耗人體“心跳總額”?一套心內科醫生的降速法》. 生命時報 2022年08月29日

相關推薦
請使用下列任何一種瀏覽器瀏覽以達至最佳的用戶體驗:Google Chrome、Mozilla Firefox、Microsoft Edge 或 Safari。為避免使用網頁時發生問題,請確保你的網頁瀏覽器已更新至最新版本。
Scroll to Top