細杆煙的危害真的比粗杆煙小?2個實驗測出結果,和你想的相反

來源: 更新:

“你怎麼還在抽這種煙啊!趕緊換成細的,抽起來差別不大但危害可小得多。”

“真的假的,你可別騙我。”

“騙你我有錢拿嗎?不信你抽抽看。”

說罷小劉就和同事一起愉快地抽起了細杆煙,原來對抽菸有心理負擔的他聽到危害小之後抽的十分放心。

到底細杆煙是不是如傳言中的那樣,對身體傷害更小呢?

一、細杆煙和粗杆煙,哪個危害更大?

細杆煙近年來十分受到人們的追捧,因爲民間廣爲流傳細杆煙帶來的傷害比粗杆煙要低。於是很多人寧願多花點錢,也要讓身體少受點傷,但抽細杆煙真的比抽粗杆煙更健康嗎?

對於這種說法,《瀋陽晚報》民生實驗室曾邀請瀋陽市健康教育中心的專家進行過兩個相關的實驗研究:

  • 第一個實驗:細杆煙的PM2.5含量/濃度更高

研究人員分別找了2個15立方米、PM2.5含量相同的密閉空間,在其中一個空間點燃粗杆香菸、另外一個點燃細杆香菸。最後在菸草燃燒完畢後,測試室內的PM2.5含量。

結果發現,粗杆煙燃燒後室內PM2.5含量爲58.9微克/立方米,細杆煙的爲60.8微克/立方米,室內的PM2.5值較未點燃香菸之前均有所提升,且細杆煙燃燒後的濃度還略高於粗杆煙。

對此,研究人員稱細杆煙雖然焦油含量會低一些,但有害物質的總體含量並不比細杆煙低。

  • 第二個實驗:細杆煙更容易在不知不覺中多吸

研究人員找了2位煙齡、年齡相近的男性參與調查,讓2位受試者在不同的房間內各自抽菸,區別是一個抽細杆煙、一個抽粗杆煙。點菸是同時進行的,分別讓他們吸到感覺夠量了位置。

最終發現,抽粗杆煙的在抽菸10分鐘(吸了1.5根菸)後就感覺到了滿足,而抽細杆煙的受試者連續抽了近30分鐘,抽了3根菸才感覺滿足。這樣算起來,抽細杆煙的攝入的有害物質多了不少。

溫州市中心醫院呼吸內科副主任戴新建闢謠稱,號稱細杆煙比粗杆煙危害小的說法完全是在自欺欺人。細杆煙燃燒後產生的有害物質並不比粗杆煙要少,且細杆煙很容易不自覺抽多,危害只會更大。

而且,細杆煙裏含有的亞硝胺、稠環芳烴等致癌物並不比粗杆煙少,荷蘭就曾經做過一項關於肺癌患者的大型樣本流行病學調查,結果發現,細杆煙比粗杆煙更容易誘發癌症。

二、這3個時間段,煙癮再大也要控制

數據顯示,全球每年約有800萬人死於菸草以及吸菸相關疾病,我國每年因吸菸所致的死亡人數超100萬人次,當中與吸菸相關率最高的3個疾病分別爲肺癌、慢性阻塞性肺疾病、缺血性心臟病。

吸菸有害健康是衆所周知,但對於一些怎麼也戒不掉的老菸民來說,吸菸時儘量避開以下幾個時刻,煙癮再大也要忍住不吸菸。

1、起牀一支菸

晨起時房間內的空氣還沒有流通,相對來說較爲渾濁,此時馬上吸菸會讓不好的空氣混雜菸草煙霧吸入體內;

空腹吸菸會刺激支氣管分泌液體,時間長了容易誘發慢性支氣管炎發生。

2、飯後一支菸

飯後馬上吸菸給身體帶來的傷害比平常吸10根還大,因爲飯後身體的熱量大增,吸菸會讓蛋白質、重碳酸鹽的基礎分泌受抑制,容易影響食物的正常吸收。

身體在消化吸收食物時對煙霧的吸收能力也會加強,會給身體帶來成倍的傷害。

3、喝酒時吸菸

喝酒的同時吸菸給身體帶來的傷害1+1>2,因爲酒精會溶解煙焦油,促使致癌物轉移到細胞膜內。

菸酒同時進行,會讓肝臟的代謝負擔加重,無法及時清除有害物質蓄積在體內,也會加大對身體的傷害。

三、最新研究:戒菸10年及以上,死亡率與未吸菸者相當

有煙癮的菸民,很多每天都在喊口號抽完這根就戒菸,但實際付諸行動的很少。一些即便是付出行動了,也會很快知難而退。在瞭解了戒菸的好處外,相信很多人會更有動力。

2024年2月,多倫多大學的研究人員發表在《新英格蘭雜誌》子刊上的一項研究,對來自美國、英國、挪威和加拿大四國共計148萬名成年人在1974年至2018年的吸菸情況進行了統計,長達15年的隨訪調查,期間有12萬多人死亡。

調整了各種影響因素後發現,男、女性吸菸者的全因死亡風險分別是不吸菸者的2.7倍和2.8倍,而且女性吸菸比男性吸菸的危害更大

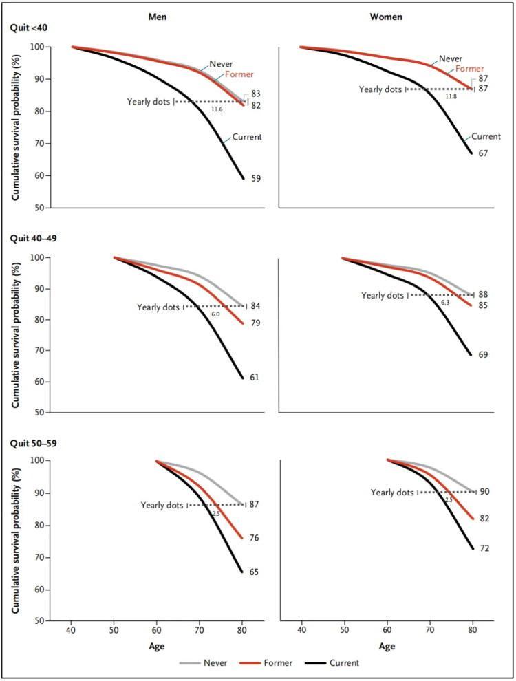
戒菸歲數與存活率變化

那戒菸之後,對不同年齡段的人分別又產生什麼影響呢?

先來看戒菸了,但戒菸時間不超過3年有哪些好處?

  • 40歲之前戒菸的短期戒菸者,死亡率接近於不吸菸者,男女性的超額死亡風險分別會下降90%/95%;
  • 50~59歲戒菸,男女性的風險分別會下降了54%/63%;
  • 60~79歲時才戒菸,男女性的風險也下降了33%/40%。

也就是說,越早戒菸給身體帶來的益處越大。如果是40歲之前戒菸,僅需要3年時間就可以讓身體健康程度重回巔峯。

當然了,戒菸的時間越長給身體帶來的益處也越大。

50~59歲的男女性戒菸3~9年後可讓超額死亡風險分別下降64%/72%;戒菸10年以上,則會讓風險分別下降92%/95%,幾乎接近不吸菸者的水平。

吸菸對於健康沒有任何益處,無論是細杆煙還是粗杆煙均會傷身,切不可因爲想戒菸而吸食細杆煙,這樣做很可能會適得其反!


參考資料:

[1] 《愛抽細杆香菸的注意!知道這個真相後,你的心一定拔涼拔涼的…》.瀋陽晚報 2018-09-05

[2] 《吸菸三大誤區,你中招了嗎?》.無煙中國 2023-05-22

[3] 《戒菸的好處驚人!NEJM最新:戒菸10年及以上,死亡率幾乎與從未吸菸者無差!》. 梅斯醫學 2024-06-17

相關推薦
請使用下列任何一種瀏覽器瀏覽以達至最佳的用戶體驗:Google Chrome、Mozilla Firefox、Microsoft Edge 或 Safari。為避免使用網頁時發生問題,請確保你的網頁瀏覽器已更新至最新版本。
Scroll to Top