壽命與身高有關!研究發現:男性1米74,女性1米58,死亡風險最低

來源: 更新:

最近,小妙在後臺收到了一則男性讀者替自己朋友打抱不平的私信:

我有一個朋友,今年28歲,大學畢業後靠自己的努力買了車房,也有一定的存款。照理說,這種條件的男人在相親市場應該很暢銷,但他卻屢屢受挫。


不少女生一聽到介紹人說他身高只有1.65米時,就不願意再接觸瞭解,這讓他很是氣餒,苦惱自己是不是要孤獨終老!

一、中國人的身高越來越高,你達標了嗎?

我國在近幾十年來經濟發展迅速,與經濟一起騰飛的還有國人的身高。

根據權威醫學期刊《柳葉刀》上的最新調查數據顯示,我國19歲男女性的平均身高分別爲175.7、163.5cm,平均身高在東亞地區最高。僅在1985~2019年這30多年期間,我國男性的平均身高增加了近9cm,增幅居全球第一。

不過以上都是青少年的平均身高,那我國成人的平均身高如何呢?根據國家衛健委的報告數據顯示,我國18-44歲的男性身高是169.7cm,女性是158cm,也就是說平均身高超過這一標準就算是達標了。

平均身高一直被認爲與人種、基因等因素相關,比如現在歐美人普遍比東亞人高出很多,但其實在過去,中國古代人的身高與歷史時期歐美人的身高相比,差距並沒有現代這麼明顯。

根據中國社會科學院歷史研究所研究員的調查數據顯示,我國秦漢時期男性的平均身高爲166.5~171.6cm之間,北魏時期的男性平均身高則爲167.4cm。而200多年前的英國人平均身高大概也是167cm,對比來看差距並不大。

一直到清朝末年,受人口爆發式增長、戰亂等因素影響導致營養攝入不足清朝男性的平均身高一路走低,跌至1.62米以下,甚至比幾萬年前的北京猿人(1.67米)的身高還要矮。到了民國,中國人的身高才出現回升,20年間大約增長了1釐米左右。

所以科學界還有一種觀點認爲,平均身高除了受基因影響以外,還和一個國家和民族的經濟發展水平有關。

新中國成立後,工業和經濟水平迅速發展,尤其是改革開放之後,人們的生活水平迅猛提高,飲食結果也不斷在改善,多喫肉蛋奶可以補充營養長身體也植入大家的觀念之中。

中國人平均身高增長速度居全球第一,同時也反映了我國這些年來經濟發展水平發展迅速。

二、研究發現:身高越高,壽命越短?

身高對於很多人來說是無法改變的痛,恨不得能斷骨增高几釐米,但個子高並非百利無一害。不少研究發現,高個子的人相較於矮個子的,患癌風險、死亡風險更大。

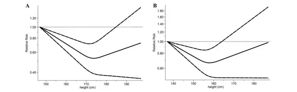
2020年11月,鄭州大學聯合深圳大學發表在《歐洲公共衛生雜誌》上的一項研究,對多個數據庫內24項隊列研究進行了薈萃分析,共涉及2185萬餘名受試者以及153萬餘例死亡數據,進行了平均20.07年的中位隨訪。

經分析後發現,身高與全因死亡率之間存在U型相關性,這說明在某個特定身高範圍內,全因死亡風險最低,過高或過矮都會讓死亡風險增加。

具體來看,男性身高在174cm時,全因死亡風險最低(下降47%);女性身高在158m時,全因死亡風險最低(下降33%)。

成人身高與全因死亡率之間的關係變化圖

對此,研究人員認爲與生理結構、細胞數量、代謝率、基因等因素相關。

高個子的人心臟需要更大的力量將血液泵向身體各個部位,心臟的負擔也會更重一些,時間長了容易導致心臟疲勞、損傷,增加心臟病的發生風險;

高個子的人體內細胞數量較多、代謝更新也比較頻繁,在細胞更新的過程中會一定程度增加細胞突變和異常的風險,容易增加癌症的風險;

身高還與基因存在一定關係,基因在促進身高增長的同時也可能對其他生理過程產生影響,容易間接影響壽命。

其實,身高除了影響壽命以外,高個子患癌的風險也更高。

美國約翰霍普金斯大學的研究人員進行的一項研究指出,相較於矮個子的人,高個子更容易罹患結直腸癌以及結腸息肉,結腸息肉沒有及時進行干預很可能會演變成惡性腫瘤。身高每增加10cm,與腺瘤風險增加6%、結直腸癌風險增加14%相關。

《柳葉刀·腫瘤學》上一項針對英國100萬餘名女性平均10年的研究指出,身高與患癌風險幾乎呈直線關係。英國女性的身高每增加10cm,與患癌風險增加16%相關。

所以個子高也不是全佔優勢,從疾病與壽命的風險來看,矮個子也算是得到了安慰。

三、這4個長壽的硬指標,看看你達到幾個

除了身高外,身體的一些其他指標也與壽命息息相關,快來看看你達標了幾個。

1、腰圍達標

男女性的腰圍應保持在<85/80cm,腰圍越大說明內臟脂肪越多,罹患急性冠心病事件、死於冠心病的風險也越高。

2、走路速度快

老年人的步速應>0.8m/秒,如果步速<0.6m/秒,則可以說是走得慢。走路快慢與心肺功能、肌肉以及骨骼健康有直接關係,走路速度過慢的人說明這些功能均較差,預期壽命也會更短一些。

3、握力好

正常的握力體重指數應>50,握力不足說明上半身血管功能下降、血管彈性較差,容易罹患高血壓、心臟疾病。計算方式爲握力(kg)/體重(kg)*100,一旦發現握力下降要考慮是否與心臟功能下降、全身性動脈硬化相關。

4、牙齒不少於20顆

世衛組織曾提出“8020”的牙齒健康要求,即80歲口腔內至少還有20顆可以正常咀嚼的功能牙。功能牙的數量與正常的咬合活動有很大關係,咀嚼時可對腦組織的血液供應帶來較強的生理刺激作用,如果缺乏這種刺激的話,容易導致腦部血液供應減少、腦組織萎縮,增加老年癡呆的發生風險。

美國的一項研究指出,口腔內有>10顆功能牙的老年人相較於<9顆的,罹患老年癡呆的風險更低。

身高是我們無法改變的既定事實,對此不要過分糾結,與其糾結無法改變的現實問題,何不如多去改變對健康有益的指標,讓自己可以更加健康長壽。


參考資料:

[1] 《美媒:從經濟飛速發展,看中國人身高增長的背後》.上觀新聞 2021-10-12

[2] 《身高不僅影響顏值還影響你的壽命!研究表明:身高與死亡率的聯繫呈U型,男性身高174cm,女性身高158cm時全因死亡率最低》. 生物谷 2024-05-25

[3] 《8個長壽的硬指標!如果都達標,可能是長壽“候選人”》. 健康時報 2022-07-18

相關推薦
請使用下列任何一種瀏覽器瀏覽以達至最佳的用戶體驗:Google Chrome、Mozilla Firefox、Microsoft Edge 或 Safari。為避免使用網頁時發生問題,請確保你的網頁瀏覽器已更新至最新版本。
Scroll to Top