在質疑中走紅,愛因斯坦也被他圈粉,這個方程將量子世界“視覺化”

來源: 更新:

埃爾溫·薛定諤(Erwin Schrödinger),這位在1933年與狄拉克共同獲得諾貝爾物理學獎的奧地利物理學家,是20世紀科學史上一位舉足輕重的存在。憑藉着他天才的波動力學方程(Schrödinger equation),薛定諤爲量子世界奠定了理論基石,徹底改變了人類對微觀粒子的認知。而他同樣以敏銳的思想深度,用一隻“半死半活”的貓挑戰物理學最根本的哲學問題。薛定諤的影響跨越了學科的邊界:不僅重塑了物理學的框架,也深刻影響了哲學、生命科學及其他領域。

1926年,量子力學迎來了決定性的發展。儘管量子理論已在科學界嶄露頭角,但如何準確描述微觀世界仍是一個未解的難題。海森堡提出的矩陣力學雖然可以進行計算,但其數學結構晦澀,缺乏直觀的物理圖像。就在此時,薛定諤提出了量子力學的波動方程——一個看似簡潔、卻極具革命性的公式。它不僅改變了量子理論的數學框架,還爲我們提供了一個全新的視角,幫助我們理解微觀世界的本質。

然而,薛定諤的貢獻遠遠超出了方程本身。1944年,他出版了《生命是什麼?》,以物理學的語言深入探討生命的奧祕。這本小冊子後來的影響力巨大,它啓發了一代生物學家,其中包括DNA雙螺旋結構的發現者。可以說,薛定諤的遺產呈現出雙重面貌:一方面是改變科學進程的數學工具,另一方面則是對存在與生命的深刻哲學探問。從這裏開始,我們追溯他從維也納走向學術巔峯的歷程。

01 從維也納到蘇黎世——薛定諤的早年歲月與學術萌芽

1906年,薛定諤進入維也納大學學習物理與數學,並受到了物理學家弗里德里希·哈澤內爾的深刻影響。哈澤內爾作爲玻爾茲曼的學生,致力於統計力學和輻射理論,這爲薛定諤後來對量子問題的思考埋下了伏筆。1910年獲得博士學位後,薛定諤被捲入了第一次世界大戰,服役於奧地利炮兵部隊。戰火讓他對生命和存在有了更加深刻的思考,這種跨學科的思維方式在他後來的工作中顯露無遺。戰後,他在德國與瑞士的多所大學任教:耶拿、斯圖加特、佈雷斯勞,最後定居於蘇黎世。正是在這一時期,薛定諤逐漸形成了他獨特的研究風格和理論框架。

圖1 埃爾溫·薛定諤(Erwin Schrödinger)在1933年的肖像圖

(圖片來源:Wikipedia)

20世紀20年代,量子理論飛速發展。1925年,維爾納·海森堡提出了矩陣力學,並由玻恩和約旦完善。儘管矩陣力學在數學上嚴謹精確,能夠描述量子現象,但其抽象的形式缺乏直觀的物理圖像,難以被許多學者接受。與此同時,路易·德布羅意在1924年的博士論文中提出了物質波假設,認爲粒子不僅具有粒子性,還應該具有波動性。這一思想對薛定諤產生了深遠的影響,讓他意識到,若能將粒子視作波動,或許能夠用一個直觀的方程來統一描述量子現象。

正是在這樣的背景下,薛定諤開始了對“物質波”的深刻思考。他敏銳地意識到,若能將德布羅意的假設寫成普適的方程,便能爲量子力學開闢一條全新的道路。1925年聖誕假期,薛定諤在瑞士阿爾卑斯山度假時,帶着德布羅意的論文,邊散步邊思考如何將波動與能量的關係聯繫起來。誰也沒有想到,這些雪山間的靈感,最終會在1926年化作震撼物理學界的偉大成果——薛定諤方程。

02 奇蹟之年——薛定諤方程的誕生與波動力學的提出

1925年,量子力學正經歷着劇烈的變革。海森堡的矩陣力學爲量子理論提供了第一個完整的數學框架,然而它的抽象形式使許多學者難以理解。科學家們迫切需要一種更直觀的方式來刻畫微觀粒子的運動。在這一背景下,薛定諤開始了他決定性的探索。

1924年,路易·德布羅意在博士論文中提出物質波假設,認爲微觀粒子不僅具有粒子性,還應具有波動性。這一思想在1925年傳到蘇黎世後,引發了薛定諤的靈感:如果粒子真是波動的,那麼是否存在一個類似於經典波動方程的數學形式來統一描述它們的行爲?這一問題成爲他新理論的起點。

圖2 1926年,薛定諤發表題爲《作爲本徵值問題的量子化》的系列論文

(圖片來源:參考文獻[1])

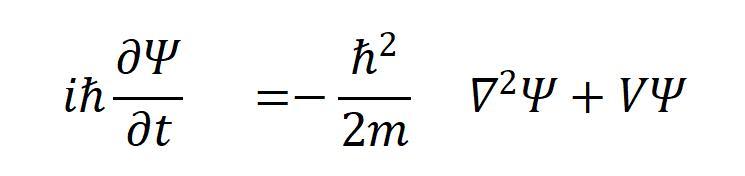
1926年1月至6月,被科學史家稱爲“薛定諤的奇蹟半年”。在此期間,他連續發表了四篇論文,總題爲《作爲本徵值問題的量子化》(Quantisierung als Eigenwertproblem)。在第一篇論文中,他提出了那個改變物理學的方程:

其中,Ψ是波函數,用以描述量子系統的狀態;ħ是約化普朗克常數;m是粒子的質量;V是勢能函數。這個方程揭示了微觀粒子隨時間演化的規律。

薛定諤方程的推導並非憑空而來。他從經典力學的哈密頓–雅可比方程出發,結合德布羅意的波粒二象性思想,並借鑑光學中的電磁波方程,最終建立了波動力學框架。最有力的驗證來自氫原子:他用方程求解電子能級,結果與玻爾模型的預測完全一致,但不再需要額外的“量子化條件”。能級自然而然地從方程的邊界條件中出現,這讓物理學家們震驚不已。

在後續論文中,薛定諤展示了波函數如何解釋量子態的疊加與躍遷。他還在第四篇論文中證明了波動力學與海森堡的矩陣力學在數學上的等價性,指出它們只是同一物理實在的不同表述。與此同時,1926年馬克斯·玻恩提出了概率解釋,明確指出

表示在某一位置找到粒子的概率密度。這一解釋賦予波函數清晰的物理意義,也爲薛定諤的理論補上了關鍵的一環。

薛定諤方程的問世迅速震撼了整個學界。愛因斯坦在寫給薛定諤的信中讚歎道:“這不是胡言亂語,而是真正的天才之作。”就連原本質疑波動觀點的玻爾,也不得不承認波動力學在量子力學發展中的重要地位。波函數的引入改變了人類對微觀的理解:粒子的運動不再是確定的軌跡,而是以概率波的形式存在,直到測量時才坍縮爲一個結果。這種觀點徹底顛覆了經典物理的確定論,標誌着量子力學進入了新的紀元。

03 世紀之爭——波動力學與矩陣力學的交鋒與統一

1926年,量子力學的兩大理論體系——海森堡的矩陣力學與薛定諤的波動力學——展開了激烈的交鋒。這場學術爭論不僅是量子力學早期發展的核心章節,也標誌着量子理論逐漸走向成熟。

矩陣力學由海森堡在1925年提出,隨後由玻恩和約旦加以完善。它以抽象的矩陣來描述粒子的狀態,形式新穎且極具數學嚴謹性,卻幾乎不提供直觀的物理圖像。對於習慣用幾何與微分方程來理解自然的學者來說,矩陣力學就像一門陌生的數學語言,難以與日常物理直覺相連接。

薛定諤的波動力學則在1926年迅速走紅。他用偏微分方程寫出了量子粒子的波動方程,使電子的行爲能夠用類似於經典波動現象的方式加以刻畫。電子不再是孤立的小球,而是一種分佈在空間中的波動模式。這種表述在數學工具上熟悉,在物理圖像上直觀,因此贏得了更多學者的青睞。

然而,這兩種理論並非相安無事。海森堡和薛定諤在文章與演講中多次交鋒。海森堡批評薛定諤的波動力學“過於形象化”,擔心這種直觀掩蓋了量子力學的深刻本質;薛定諤則譏諷矩陣力學“缺乏美感”,難以令人信服。在一次訪問哥本哈根的學術交流中,他甚至因激烈的爭論而病倒,這段插曲成爲科學史上的趣聞。由此可見,這不僅是一場關於數學形式的爭論,更是一場關於量子世界本質的哲學分歧。

轉機出現在1926年春天。薛定諤在第四篇論文中證明了波動力學與矩陣力學在數學上完全等價,它們只是同一物理實在的不同表述。與此同時,玻恩提出了著名的概率解釋,指出波函數的平方

表示在某一位置找到粒子的概率密度。這一解釋賦予波動力學以明確的物理意義,也幫助它在與矩陣力學的比較中站穩了腳跟。

隨着狄拉克引入算符形式並將兩種理論提升到更一般的層次,再加上玻爾和海森堡推動的“哥本哈根詮釋”,量子力學的兩大分支終於融匯爲一個統一的整體。矩陣力學的數學嚴謹與波動力學的直觀圖像互爲補充,成爲現代量子理論不可或缺的兩大支柱。

圖3 1933年,埃爾溫·薛定諤(Erwin Schrödinger)獲得諾貝爾物理學獎

(圖片來源:Wikipedia)

這種統一標誌着量子力學的真正成熟。它不僅解釋了經典物理學無法理解的現象,如原子能級結構、量子疊加和後來的隧穿效應,還爲化學、材料學、粒子物理等學科的發展奠定了堅實的理論基礎。正是在這場“世紀之爭”的激烈交鋒與最終融合中,量子力學完成了自我塑造,成爲20世紀最深刻、最具革命性的科學成果之一。

結語

薛定諤在量子力學發展中的地位,正是通過這場“世紀之爭”的交鋒與統一而確立的。他不僅用波動方程爲微觀世界提供了前所未有的描述,還推動量子理論從分裂走向統一。1926年的“奇蹟半年”,不僅成就了薛定諤個人的巔峯,也讓整個量子力學迎來了真正的成熟。

薛定諤的波動方程改變了人類理解自然的方式:電子能級自洽地從方程中湧現,概率波取代了確定性的軌跡,揭示了一個全新的微觀圖景。這一轉變爲原子物理、量子化學,乃至現代量子科技的發展奠定了根基。然而,薛定諤本人卻並未完全認同後來的“哥本哈根詮釋”。在他看來,波函數應當對應某種更深層次的實在,而不僅僅是統計工具。

正因如此,1935年他提出了一個匪夷所思的思想實驗:在一個密封的盒子裏,一隻貓的生死竟要依賴於量子粒子的疊加狀態。那隻“半死半活”的貓,把量子理論推向了最荒誕的邊緣,也讓人們不得不直面一個更尖銳的問題——量子力學究竟在描述現實,還是僅僅在描述我們對現實的認知?

這隻貓至今仍在“盒子裏”,在科學史與哲學史上揮之不去。接下來,我們就要打開這個盒子,去看看薛定諤爲何要讓一隻貓成爲量子力學最著名的象徵。

參考文獻:

[1] Schrödinger E. Quantisierung als eigenwertproblem I–IV[J]. Annalen der physik, 1926, 79: 361–376; 79: 489–527; 80: 437–490; 81: 109–139.

[2] Heisenberg W. Über quantentheoretische Umdeutung kinematischer und mechanischer Beziehungen[M]//Original Scientific Papers Wissenschaftliche Originalarbeiten. Berlin, Heidelberg: Springer Berlin Heidelberg, 1985: 382-396.

[3] Born M. Quantenmechanik der stoßvorgänge[J]. Zeitschrift für physik, 1926, 38(11): 803-827.

[4] De Broglie L. Recherches sur la théorie des quanta[D]. Migration-université en cours d''affectation, 1924.

[5] Dirac P A M. The fundamental equations of quantum mechanics[J]. Proceedings of the Royal Society of London. Series A, Containing Papers of a Mathematical and Physical Character, 1925, 109(752): 642-653.

[6]Schrödinger E. Die gegenwärtige Situation in der Quantenmechanik[J]. Naturwissenschaften, 1935, 23(50): 844-849.

[7]Schrodinger E. What is life?: the physical aspect of the living cell[J]. 1946.

出品:科普中國

作者:欒春陽 王雨桐(清華大學物理系博士)

監製:中國科普博覽

相關推薦
請使用下列任何一種瀏覽器瀏覽以達至最佳的用戶體驗:Google Chrome、Mozilla Firefox、Microsoft Edge 或 Safari。為避免使用網頁時發生問題,請確保你的網頁瀏覽器已更新至最新版本。
Scroll to Top