崔寒柏:我的小楷是怎麼變成這樣的?

來源: 更新:

書法日課2025-11-20 16:23:02

(這是崔寒柏老師最新的小楷作品。不少書友和藏家喜歡這種靈動自然的風格,但很多人不知道,小楷寫到這裏,要經過一段很漫長的路。其中不僅有緩慢的量變,還有悄然發生的質變。

崔寒柏老師小楷的巨大變化,發生在2010-2011年間,他自己曾在2012年記錄了這一有趣的過程,我們不妨看一下。)

近期小楷的鉅變

崔寒柏

2012.5

將近五十歲了,一直都不力求變化的我,好像不知不覺地變了。

這要從近來一幅一幅小楷變化中慢慢體會。

我自己喫驚,近來沒有關注我小楷的朋友們一定也會喫驚吧。

回頭想一想,好像又很自然。

再去試着寫寫過去的路數,已經不是那個我了。可謂“逝者長已矣!”

新的尚不成熟,成熟就沒法進步了。

……

還有具相寫經和唐人的韻致。

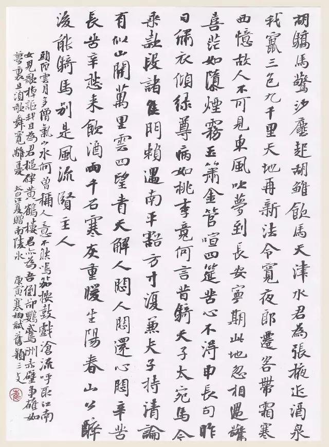
(以下爲2010年作品)

明顯的板眼,用筆與結體都節奏感十足,具相之型。

走韻,有相但趨閒散。

單字完整。

節奏分明中尋求周邊的響應。

淡化節律。

念蘇。

斜拉唐韻。

試筆而不覺其他,不想卻是字形變幻的開始。

不拘於形去感受左右。

聚散、密疏中愈見錯落,筆致潤澤,身段向自然上邁進。

尋找單字的抒發點。

淡化字的固有間架(拆體)。

解除彼此“敵意”,化方爲圓。

分開輕重,尋找親疏。

不知用筆時方得筆。

筆法對時,字是立體的(雖然筆扁)。

有人說像鍾繇了,可我從沒有臨過,甚至就沒喜歡過鍾,是反祖了嗎?還是因爲僅僅看得那幾眼鍾繇?

小放而知味。

(以下爲2011年作品)

積筆而深厚。

散發出平日閱讀書跡而感受到的“古意”。梳理。

動中求和。

感受微動。

加強聯繫,相處於每字自成的勢態中。

加重自然書寫中的聯繫,不同中的一致感。

受筆。

平和中調出閱識過的記憶和感覺。

誇張大小起伏,自然單字結體。

疏整大局,保留小趣。

回揉唐形。

(以下爲2012年作品)

小端身型。

顧全整體,雕琢單字,自然吻合彼此。

小放風。

休閒中的小小正規。

輕描淡寫中的擴張(遛早)。

辦公室中的飲茶時刻。

動中求其形態的嬗變。

借毫髮力,以得自然中的形變。

筆任意行。

不知爲何之所以……

……

以上是崔寒柏老師2010至2012年間小楷作品,次第讀來,能感受那一兩年間小楷風格的鉅變。

相關推薦
請使用下列任何一種瀏覽器瀏覽以達至最佳的用戶體驗:Google Chrome、Mozilla Firefox、Microsoft Edge 或 Safari。為避免使用網頁時發生問題,請確保你的網頁瀏覽器已更新至最新版本。
Scroll to Top