連切100個洋蔥只爲研究一件事:怎樣不辣眼睛

來源: 更新:

最近,我這個“廚房小白”開始嘗試自己做飯了,第一次意識到,洋蔥可真是個好東西。它不僅便宜耐放,而且幾乎能搭配任何食材:燉肉可以去腥增香,搭配素菜清爽可口,就連簡簡單單的清炒洋蔥都無比美味。

但洋蔥也有一個極其討厭的缺點:辣眼睛。每次切洋蔥,那股酸爽酥麻的氣息都會直奔我的眼睛、鼻子和口腔。往往一個洋蔥還沒切完,我的眼中就噙滿了淚水。

洋蔥常讓人眼中噙淚丨giphy

切洋蔥,民間土法互相矛盾

爲了不再被洋蔥辣哭,我開始在社交媒體上搜索各種防淚祕籍,發現網友們的回答五花八門。

有人說要給刀和砧板蘸水,有人會在砧板旁擺上電扇和蠟燭,還有人邊嚼口香糖邊切洋蔥。當然還有更簡單粗暴的方案:戴口罩、戴護目鏡,甚至在鼻孔裏塞紙巾。

更讓人困惑的是,許多“民間土法”還彼此矛盾。比如,有人說切之前應該把洋蔥扔進冰箱,可另一些人卻主張先用微波爐加熱洋蔥;有人建議在30秒內速戰速決,而另一些人卻主張先將洋蔥切成大塊靜置,一段時間後再切成細絲。

早在公元前三千多年甚至更早,洋蔥就登上了人類的餐桌。然而,五千多年過去了,切洋蔥的方法竟然還如此衆說紛紜。

最佳切洋蔥防淚法,還沒有得到統一 | 圖蟲創意

科學家發論文,試圖終結廚房紛爭

科學家顯然也遇到過類似的困擾,一篇今年10月發表於《美國科學院院刊》[1](PNAS)的論文就試圖終結這場廚房紛爭。

康奈爾大學的Sunghwan Jung教授和學生吳子軒(現任職於雪城大學)等研究者給出了他們的答案:想要切洋蔥不流淚,關鍵在於刀要鋒利,動作要慢。至於許多網友推薦的冷藏法,可能會適得其反。

我原本以爲,Sunghwan Jung團隊之所以關注切洋蔥問題,是因爲他們也曾像我一樣有過切膚之痛。但當我問到這個問題時,吳子軒笑着坦言,其實只是Jung的朋友研究過掰橙子時的汁液飛濺,於是Jung也想看看,切洋蔥時的汁液飛濺是否也藏着有趣的流體物理學原理。

在吳子軒眼中,Jung是一個對世界充滿好奇心的人。他的研究興趣五花八門,從貓狗怎麼喝水,到動物躍入水中激起的浪花,再到游泳後耳道里的水如何排出……Jung總能從日常生活裏挖掘出別具一格的物理問題。

有意思的研究團隊,研究有意思的流體物理學問題 | 參考文獻[4, 5]

把洋蔥送上“斷頭臺”,發現刀越鈍越濺

切洋蔥之所以讓人流淚,原因藏在洋蔥細胞裏。當洋蔥組織被刀片破壞時,洋蔥細胞中的硫化物會在酶的催化下,迅速生成一種名爲丙硫醛-S-氧化物的化合物。它不僅能揮發進入空氣,還會隨着切洋蔥時產生的細小汁液飛濺進入我們的眼睛,刺激分佈在角膜的睫狀神經,引發流淚反應。

爲了看清切洋蔥過程中究竟發生了什麼,研究團隊決定用高速攝像機捕捉洋蔥的每一個飛濺瞬間。他們爲洋蔥設計了一款“斷頭臺”,讓刀片自由下落切割洋蔥。同時,他們還編寫了一種算法,逐幀追蹤這些微小液滴的運動軌跡。

在高速攝像機下,研究人員真切地看到了洋蔥汁液飛濺的全過程。在切割的瞬間,洋蔥切口處會立刻噴出大量霧狀的小液滴。它們的速度可達40米/秒,噴射高度甚至能達到60釐米。

緊接着,從洋蔥更深層處噴出的汁液由於壓力減小,會以液絲的形式噴出,並在空中再次斷裂成小液滴。這些後續噴出的液滴高度通常不超過20釐米,不太容易濺入人眼。

換句話說,第一波那些速度極快的霧狀小液滴,纔是引發我們流淚的“頭號罪犯”。

刀切洋蔥瞬間,缺口噴出的液滴(藍色)和液絲(紅色),黃色代表洋蔥或刀|參考文獻[1]

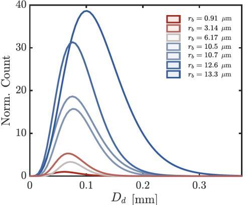
爲了進一步瞭解如何才能減少液滴飛濺,研究團隊又測試了不同的切割方式,用不同鋒利程度的刀片切了上百顆洋蔥,他們發現:刀刃越鈍,洋蔥汁液飛濺就越嚴重。隨着刀刃厚度從0.91微米增加至13.3微米,洋蔥飛濺出的液滴數量足足增加了40倍。

吳子軒表示:“一般來說,鋒利的刀刃厚度在2微米以下。用這樣的刀切洋蔥,肉眼幾乎看不到液滴飛濺。一旦刀刃厚度超過7微米(大約是一根頭髮直徑的十分之一),你就能清楚地看到洋蔥汁液爆發出來。”

從紅色到藍色,刀刃越厚,洋蔥飛濺出的液滴數量越多 | 參考文獻[1]

爲什麼刀越鈍,汁液飛濺就越劇烈?這要從洋蔥獨特的微觀結構說起。研究人員將洋蔥比作了一種蹦牀式的結構。

洋蔥的每一層,外表都包裹着一層堅韌的表皮細胞,也就是我們在高中生物課上用來觀察質壁分離的那層細胞(不是最外層的褐色幹皮)。它就像蹦牀的牀面,薄薄一層但韌性十足,保護着洋蔥內部柔軟的葉肉細胞。而這些厚厚的葉肉細胞則像蹦牀的彈簧一樣,支撐着上方的表皮細胞。

“洋蔥表皮細胞形狀細長,它們的抗壓能力很強。”吳子軒解釋道,“如果菜刀不夠鋒利,無法立刻切開這層表皮,就會將它深深地下壓。這樣一來,下層的葉肉細胞就會被嚴重壓縮,甚至超出它們所能承受的壓力極限。”

在這種巨大的壓力下,等到菜刀終於切破洋蔥表皮時,葉肉細胞積累的壓力就會像被壓縮的彈簧彈開一樣迅速釋放。菜刀越鈍,汁液中積累的壓力越大,儲存的彈性勢能越多,洋蔥汁液就會噴得越多、越快、越高。

洋蔥橫截面,可以看到洋蔥在被刀切斷後立即回彈,這是彈性勢能釋放的標誌 | 參考文獻[1]

慢切、前後拉、不冷藏,飛濺少

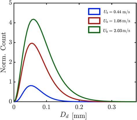
除了刀的鋒利程度,切洋蔥的速度也同樣重要。爲了研究這一點,他們讓刀片從不同高度自由落體,模擬了不同的切割速度。研究者發現,當切割速度從0.44米/秒增加到2.03米/秒(人類廚師的切菜速度一般爲0.1~1.0米/秒)時,飛濺出的液滴數量增加了4倍。

吳子軒說:“切洋蔥的速度越快,菜刀提供的能量就越多,因此汁液更容易斷裂成細小的液滴,噴射速度也會越快。”

研究團隊還測試了一些“民間土法”。例如,他們把洋蔥在冰箱中提前冷藏了12小時,令人驚訝的是,冷藏後的洋蔥反而會噴出更多液滴。他們推測,這可能是因爲在低溫作用下,洋蔥組織變得更脆了,切割時的斷裂區域更大,因此釋放出了更多汁液。

此外,早在2012年,哈佛大學物理學家L.馬哈德萬(L. Mahadevan)的團隊就發現[2],在切割物體時,如果刀片只是直直地下壓,那麼就需要較深的下壓深度才能達到斷裂的臨界條件。相反,如果像拉鋸那樣邊向下切邊前後拉,就能以更小的下壓深度達到斷裂條件,切割效率更高。因此,科學家也建議,在切洋蔥時儘量採用邊拉邊切的方式,能進一步減少洋蔥汁液飛濺。

從藍色到紅色再到綠色,切洋蔥速度越快,洋蔥飛濺出的液滴數量越多 | 參考文獻[1]

使用鋒利刀具,減少飛濺帶來的危險

這些看似只是廚房小技巧的研究,其實還有更重要的意義。洋蔥飛濺的液滴不僅會刺激眼睛,也可能攜帶微生物,成爲食品污染的隱形來源。

2023年,中國食源性疾病發病人數有30237人,其中不少是由沙門氏菌等微生物引起的。病原體可以通過很多途徑傳播,這項研究展示了一種容易被人們忽略的途徑——生食切割過程中,病原體隨着液滴飛濺,造成感染。

研究團隊發現,不只是切洋蔥會產生飛濺,撕洋蔥也會,比如撕下每層洋蔥內側表皮的動作,能產生大量極微小的液滴,甚至形成能長時間懸浮於空氣中的氣溶膠。如果病原體混入這些氣溶膠,被人類接觸和吸入的風險就會大大增加。因此,爲了減少廚房感染風險,無論是切洋蔥還是處理其他生鮮食材,都最好使用鋒利的刀具。

至於切了上百個洋蔥有沒有被辣哭?吳子軒笑着說:“我好像已經習慣了,已經沒什麼感覺了。”

參考文獻

[1]https://www.pnas.org/doi/10.1073/pnas.2512779122

[2]https://journals.aps.org/prl/abstract/10.1103/PhysRevLett.109.244301

[3] 範鵬輝, 李紅秋, 褚遵華, et al. 2023年中國大陸食源性疾病暴發監測結果分析. 中國食品衛生雜誌. 2024;10:1199-1208.

[4] Gart S, Socha JJ, Vlachos PP, Jung S. Dogs lap using acceleration-driven open pumping. Proc Natl Acad Sci U S A. 2015 Dec 29;112(52):15798-802.

[5] Chang B, Myeong J, Virot E, Clanet C, Kim HY, Jung S. Jumping dynamics of aquatic animals. J R Soc Interface. 2019 Mar 29;16(152):20190014.

作者:黃雨佳

編輯:代天醫、odette

封面圖來源: 圖蟲創意

本文來自果殼,未經授權不得轉載.

如有需要請聯繫[email protected]

相關推薦
請使用下列任何一種瀏覽器瀏覽以達至最佳的用戶體驗:Google Chrome、Mozilla Firefox、Microsoft Edge 或 Safari。為避免使用網頁時發生問題,請確保你的網頁瀏覽器已更新至最新版本。
Scroll to Top