爲什麼死大閘蟹不能喫,我自己殺死的就能喫?

來源: 更新:

又到了秋天,一個喫大閘蟹的季節。大閘蟹確實好喫,但有個傳言如雷貫耳:千萬別喫死的大閘蟹,否則死的就不只是大閘蟹了!

先不說有沒有人生啃大閘蟹,就一個靈魂發問:我親手上鍋蒸死的大閘蟹,算不算死蟹?到底能喫不能?

這總是死蟹吧,能喫嗎?丨圖蟲創意

自死和他殺的大閘蟹,哪個毒?

開篇明義一下,死了一陣的大閘蟹確實不適合再拿來蒸了喫

首先,活蟹細菌就多,死後細菌更更更多

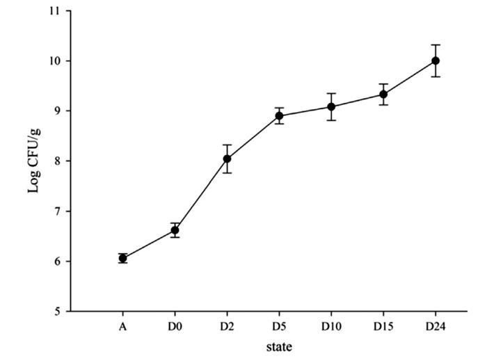
在2020年的一項研究中,實驗人員分別檢測了活大閘蟹、剛死的大閘蟹、死了2小時的大閘蟹、死了5小時的大閘蟹、死了10小時的大閘蟹、死了15小時的大閘蟹與死了24小時的大閘蟹中的總菌落數。

結果發現,哪怕是活大閘蟹,身上的菌落數就比雪蟹、藍蟹等海蟹多約3600倍。其原因是大閘蟹生活在細菌更喜歡的淡水裏,而且大閘蟹身上的絨毛、縫隙也多,更容易長細菌。

大閘蟹學名中華絨螯蟹,因爲它們的兩隻大鉗子長滿了絨毛,這裏容易藏污納垢丨圖蟲創意

而大閘蟹死後,本就生活在蟹上的大量細菌脫離了免疫系統的壓制,開始藉着大閘蟹裏的蛋白質、脂肪、淡水等資源瘋狂繁殖。這些細菌有的能產生耐熱的毒素,有的能和酶一起分解蛋白質產生耐熱有毒的組胺,蒸熟了也無濟於事。

大閘蟹存活時及死後菌落數變化,橫軸單位爲小時,A代表活大閘蟹丨Wang et al. (2020)

從上圖也能看出,我們親手蒸死的大閘蟹還好,而不知何時嘎掉的大閘蟹,細菌數量已經翻了很多倍了。

此外,就算經過了殺菌,死掉的大閘蟹也讓人難以下嘴

一方面,死掉的大閘蟹蒸熟後蟹黃蟹肉水分流失,都不太新鮮了,沒啥喫頭;

另一方面,因爲水分多、蛋白質多,死掉的大閘蟹會迅速腐敗,產生有毒的組胺,以及屍胺、腐胺——它們雖然毒性不算強,但看名字就能想象味道了

圖丨soogif

怕大閘蟹都死了,難道要一次全喫完?

理論歸理論,實際生活中我們面臨另一個問題。

過節的時候經常收到十幾只裝的大閘蟹禮盒。放着慢慢喫吧,螃蟹死了只能丟掉,太浪費;一鍋全蒸了喫吧,實在沒有花幾個小時掏黃摳肉的雅興。

雖然大閘蟹好喫,可一旦超過兩隻我就開始不耐煩了丨圖蟲創意

徹底蒸熟了放冰箱慢慢喫,行嗎?行!

如果放冷藏的話,記得蒸熟後儘快用保鮮膜、保鮮盒裝起來放冰箱。爲了安全和口感口味,喫的時候最好再上鍋蒸一次,並且在一天內喫完

如果蒸熟了放冷凍,唔,理論上可以,但冷凍過的熟大閘蟹不好喫,蟹肉被冰晶破壞,喫起來口感發綿,珍貴的蟹黃蟹膏富含油脂,在冷凍環境下也會慢慢氧化,凍得越久越容易有苦味哈喇味。

多少人喫大閘蟹就是爲了這一口丨圖蟲創意

多說一嘴。超市裏有很多凍螃蟹,所以可能有人會想把一時喫不完的活螃蟹也直接凍起來——這可不行啊!

一來,冷凍沒法殺菌,因此超市裏賣的凍蟹大多數海蟹,而不是細菌更多的大閘蟹等淡水蟹(而且拿出來又解凍的話,細菌又會繁殖起來);

二來,超市凍蟹是經過商業速凍的,冷凍過程更快、溫度更低,才能讓螃蟹更安全和好喫,家用冰箱可做不到這點;

三來,大閘蟹體內的酶活性比海蟹高,直接活凍也能保持部分活性,並持續分解凍死螃蟹的肉,然後產生難喫甚至有毒的生物胺。

超市裏很多凍海蟹也是熟凍的丨電商截圖

那……喫不完的養起來?

收到大閘蟹禮盒,除了一頓喫完、一天喫完,還有個法子,活活冷藏

浙江省農業科學院的一項研究顯示,讓大閘蟹緩緩冷卻到7攝氏度左右保存,能夠讓它們存活長達10天。家裏冰箱的冷藏溫度一般是2攝氏度到4攝氏度,給大閘蟹裹上溼紙巾保溼再冷藏,也許也能讓它們活得久一些,減少浪費

如果拿出來準備喫的時候發覺大閘蟹不對勁,立刻馬上棄之!丨小紅書/湖農老mu

但在這個過程中一定注意把活大閘蟹和冰箱裏其他食物分開放,尤其是熟食。爲啥?複述一遍本文的核心知識點:大閘蟹細菌真的很多啊!

參考文獻

[1]Fan, Licheng, et al. Effect of Short-Term Frozen Storage on Taste of Gonads of Female Eriocheir Sinensis and the Classification of Taste Quality Combined with Sensory Evaluation and Fuzzy Logic Model. Food Chemistry, vol. 378, June 2022, p. 132105, https://doi.org/10.1016/j.foodchem.2022.132105

[2]Fan L, Xian C, Tang S, Ding W, Xu C, Wang X,

Effect of frozen storage temperature on lipid stability of hepatopancreas of Eriocheir sinensis,LWT, Volume 154,2022,112513, https://doi.org/10.1016/j.lwt.2021.112513.

[3]Laixin Chen, Yanchao Han, Honglei Mu, Ben Niu, Ruiling Liu, Guannan Wang, Huizhi Chen, Lishu Wang, Hangjun Chen, Haiyan Gao, Hypothermal effects of cold anesthesia on the vitality and muscle quality of live Chinese mitten crab (Eriocheir sinensis), Food Research International, Volume 219, 2025,116970, https://doi.org/10.1016/j.foodres.2025.116970.

[4]Wang Y, Zhu Y, Shi W, Wang X. Quality evaluation of living and postmortem Chinese mitten crabs (Eriocheir sinensis). Food Sci Nutr. 2020; 8: 2327–2340. https://doi.org/10.1002/fsn3.1519

[5]Xueqian Guo, Lizhi Yu, Qi Lu, Wei Ding, Jian Zhong, Long Zhang, Xichang Wang, Quality evaluation and shelf-life prediction model establishment of frozen Chinese mitten crab (Eriocheir sinensis), LWT, Volume 173, 2023, 114250, https://doi.org/10.1016/j.lwt.2022.114250

[6]Yanshun Xu, Wenshui Xia, Jin M Kim, Biogenic and volatile amines in Chinese mitten crab (Eriocheir sinensis) stored at different temperatures, International Journal of Food Science and Technology, Volume 44, Issue 8, August 2009, Pages 1547–1552, https://doi.org/10.1111/j.1365-2621.2008.01788.x

[7]Yang, X., Zhang, J. & Cheng, Y. The evaluation of the three edible tissues of dead adult Chinese mitten crabs (Eriocheir sinensis) freshness in harvest season, based on the analysis of TVBN and biogenic amine. SpringerPlus 5, 1906 (2016). https://doi.org/10.1186/s40064-016-3434-4

[8]https://www.jfdaily.com/wx/detail.do?id=691784

作者:一隻瓜

編輯:李小葵

本文來自果殼,未經授權不得轉載.

如有需要請聯繫[email protected]

相關推薦
請使用下列任何一種瀏覽器瀏覽以達至最佳的用戶體驗:Google Chrome、Mozilla Firefox、Microsoft Edge 或 Safari。為避免使用網頁時發生問題,請確保你的網頁瀏覽器已更新至最新版本。
Scroll to Top