拓撲材料中的量子奇蹟:質量真的會消失嗎?

來源: 更新:

在經典物理的世界裏,質量被視爲物質永恆不變的屬性。然而,當科學家們深入量子領域,探索拓撲材料的奇妙特性時,卻發現了令人震驚的現象:在某些特殊條件下,質量竟然可以“消失”!這看似違背常識的發現,正是當代凝聚態物理最前沿的研究成果之一。

質量與速度:從牛頓到愛因斯坦

質量是物理學中最基本的概念之一。自中學接觸牛頓運動定律起,我們便與質量結下了不解之緣,彷彿“m”在考卷中無處不在,但鮮有要求去求解。在學到牛頓運動定律時,老師會告訴我們質量是一個恆定不變的標量,與物體的速度無關;牛頓第二定律則告訴我們,外力和加速度成正比,而質量正是這一關係中的比例常數。

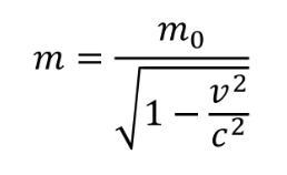
然而,當我們學得愈加深入時,就會發現當物體的速度接近光速時,牛頓運動力學不再適用。這時另一位物理學巨匠——愛因斯坦老先生帶着他的物理定律閃亮登場:狹義相對論告訴我們,隨着速度的增加,物體的質量不是不變,而是會隨之增大。這一現象可以通過相對論質量公式描述

其中m0是物體的靜止質量,v是物體的速度,c是光速。顯然,當物體的運動速度接近光速時,分母趨近於零,這導致質量趨向於無窮大,這一現象完美解釋了爲什麼沒有任何物體能夠達到或超過光速。

講到這裏,筆者發問,質量是否會完全消失呢?這裏我們先賣個關子,稍後會給出答案。

拓撲材料與準粒子的奧祕

近期,在《物理評論X》(Physical Review X)中發表的一篇文章深入探討了拓撲材料中半狄拉克費米子的實驗發現。

拓撲金屬中的半狄拉克費米子

(圖片來源:《Physical Review X》)

對於任何一個新的概念,我們首先嚐試從這個概念的名詞出發來進行聯想,因爲這些名詞往往蘊含了其核心內涵。不然爲何會選擇這樣一個名稱呢?因此,在討論拓撲材料、半狄拉克費米子之前,我們先簡單解釋一下什麼是拓撲。

拓撲(Topology),源於英譯,是一個抽象的數學概念,描述空間在連續變形(如拉伸、彎曲,但不涉及撕裂或粘合)下保持不變的特性。我們以“甜甜圈”和“茶杯”爲例來直觀理解拓撲的定義:甜甜圈和茶杯可以通過連續變形相互轉換(如下圖),因爲它們都擁有一個孔洞,這是它們的共同拓撲特徵。相反,形成孔洞的變化是非平滑連續的,以至於我們可以通過孔洞的數目來區分它們。例如,要把一個球體轉變成甜甜圈,無法通過上述的連續操作,必然涉及到球體撕裂出一個孔,因此球體和甜甜圈並不等價。

甜甜圈到茶杯的拓撲變換

(圖片來源:Wikimedia Commons)

在物理學中,拓撲概念的應用始於1980年量子霍爾效應的發現。隨後,科學家們將拓撲理論擴展到三維材料體系,預言並證實了拓撲絕緣體的存在。這類材料的電子行爲受拓撲保護,即使存在局部擾動也能保持穩定,因此在電子器件中具有重要應用潛力。

在衆多的拓撲材料中,拓撲半金屬(Topological semimetal)是一類兼具金屬和絕緣體特性的材料,其電子能帶結構中存在特殊的交叉點,稱爲拓撲節點。這些節點承載着狄拉克費米子或外爾費米子等準粒子。需要注意的是,這些“費米子”並非真實的基本粒子,而是電子與晶格相互作用產生的集體激發行爲,類似於半導體物理中的“空穴”概念。

複雜多樣的拓撲半金屬量子態

(圖片來源:《物理》)

說了這麼多,筆者這裏要回答上述提出的問題:質量可以消失!但這需要特殊的體系來實現。若諸君欲探求其原委,請細心閱讀以下篇章。

(半)狄拉克費米子:質量“消失”的關鍵

費米子(Fermion)是構成物質的基本粒子之一,遵循費米-狄拉克統計,具有半整數自旋(如1/2、3/2等)。常見的電子、質子、中子都是費米子,它們的集體行爲催生了許多有趣的物理現象,如電導性、超導性等。

狄拉克費米子(Dirac fermion)一種特殊的費米子,其能帶色散關係通常呈現線性,即電子的能量E與波矢k成線性關係(E = ℏvFk)。這種線性關係表明,狄拉克費米子的能量與其動量的關係也是線性的。學過固體物理的小夥伴很清楚,在描述此類電子運動時,由於受到晶體內部週期性勢場的作用,運動的電子已不再是自由電子,但我們可以將其等效爲一個在自由空間中運動的電子。這該如何處理呢?物理學家們通過引入有效質量的概念,概括晶體內部週期性勢場對電子的影響,此時電子的有效質量是能量對波矢二階導數的倒數。由於色散關係是線性的,並且在能量爲零的點對稱,這導致能量在交叉的頂點處不連續,進而導致二階導數趨向無窮大,因此有效質量爲零。實際上,如果我們將電子算符在該頂點(高對稱點)處進行傅里葉展開,可以發現,這類電子遵循相對論性狄拉克方程。與之相對,拋物線色散關係的電子具有非零有效質量,表現出有質量費米子的行爲。

拋物線色散關係

爲方便理解,讓我們以“神奇材料”石墨烯爲例來具體說明。石墨烯的能帶結構呈現出獨特的狄拉克錐特徵:在錐頂處,價帶和導帶相交,導致該處的電子有效質量爲零。這一特性帶來了兩個關鍵結果:電子的費米速度高達光速的1/300,遠超傳統半導體;材料展現出超高的載流子遷移率和優異的導電性能。這些突破性的特性使石墨烯成爲凝聚態物理和材料科學的研究熱點,吸引了物理學家和化學家的廣泛關注。

石墨烯的狄拉克錐結構

(圖片來源:《Review Modern Physics》)

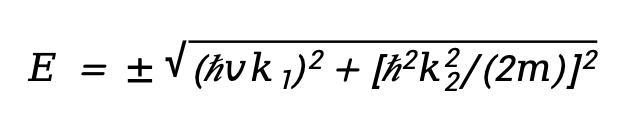
基於上述認識,半狄拉克費米子的概念就很好理解了。這一概念源於應變石墨烯的理論研究:在石墨烯中,低能激發通常會表現爲無質量的狄拉克費米子;而當它受到單軸應變時,電子能帶結構中的狄拉克錐會發生變形,導致能量色散在一個動量方向k1上保持線性,而在正交方向k2上變爲拋物線關係。這種混合的色散關係產生了半狄拉克費米子,它結合了無質量狄拉克費米子和有質量費米子的特性,其能帶色散關係公式及示意圖如下:

半狄拉克費米子能帶色散圖

(圖片來源:《Physical Review X》)

儘管理論上普遍認爲半狄拉克費米子存在於應變石墨烯中,但由於實驗中難以實現所需的應變,直接觀測這些費米子一直頗具挑戰性。然而,隨着拓撲材料研究的深入,科學家在實驗上發現了不同費米子的迴旋能量與磁場強度B之間存在不同的冪律依賴關係,即朗道能級躍遷冪律,這一現象如下圖所示。

常規費米子(黑線)、狄拉克費米子(橙線)和半狄拉克費米子(紫線)的迴旋能量與磁場的關係

(圖片來源:《Physical Review X》)

半狄拉克費米子的實驗發現

基於此背景,美國哥倫比亞大學物理系的Dmitri N. Basov教授及其團隊選擇一種典型的拓撲半金屬體系——ZrSiS(鋯硅硫)作爲研究對象,並揭示了半狄拉克費米子的實驗證據。

ZrSiS單晶及其費米表面和節點線結構

(圖片來源:《Applied Physics Letters》和《Physical Review X》)

科學家利用磁光光譜學技術(一種測量光與材料中磁場相互作用的技術),研究團隊取得了三項重要進展:在實驗觀測上,首次在固態材料中直接證實半狄拉克費米子的存在;在理論驗證上,通過第一性原理計算,建立了節點線與半狄拉克能譜的對應關係;在模型構建上,發展出四帶緊束縛模型,成功重現材料中的各類節點特徵。

ZrSiS中費米子朗道能級躍遷冪律

(圖片來源:《Physical Review X》)

這一發現無疑是凝聚態物理領域的一個重要里程碑。它不僅首次在固態體系中直接提供了半狄拉克費米子的實驗證據,而且爲探索由節點線交叉點產生的複雜拓撲結構和相關效應搭建了理想平臺。

半狄拉克費米子的獨特性質不僅挑戰了我們對質量和費米子的傳統認知,還推動了物理學和材料科學的前沿研究。雖然這些發現目前可能與我們的日常生活還有些距離,但它們無疑爲我們提供了探索量子材料世界的新工具和新視角,同時也爲量子計算(機)的應用帶來了希望。

參考文獻:

  1. Shao Y., Moon S., Rudenko A. N., et al. Semi-Dirac fermions in a topological metal[J]. Physical Review X, 2024, 14(4): 041057.
  2. 馮硝, 徐勇, 何珂, 薛其坤. 拓撲量子材料簡介[J]. 物理, 2022, 51(9): 624.
  3. Lv Y. Y., Zhang B. B., Li X., et al. Extremely large and significantly anisotropic magnetoresistance in ZrSiS single crystals[J]. Applied Physics Letters, 2016, 108(24): 244101.

出品:科普中國

作者:吳俊傑(中國科學技術大學)

監製:中國科普博覽

相關推薦
請使用下列任何一種瀏覽器瀏覽以達至最佳的用戶體驗:Google Chrome、Mozilla Firefox、Microsoft Edge 或 Safari。為避免使用網頁時發生問題,請確保你的網頁瀏覽器已更新至最新版本。
Scroll to Top