高考出現“神仙卷面”,字跡工整漂亮,閱卷老師:看到就想打滿分

來源: 更新:


你家孩子寫字漂亮、工整嗎?


女兒上二年級,字寫得亂七八糟的,每次看她寫字,真是心臟病都要氣出來,一個個字就跟雞扒似的,多次被老師吐槽“字醜、不工整”,說考試寫成這樣會很喫虧,很影響考試成績!

但女兒卻不以爲然,還一臉滿不在乎的反問:寫字好有那麼重要嗎?老師閱卷是看題做對沒?不是看你字寫得好不好?你字寫得再好,題做不對,一樣不得分啊!


看着振振有詞的女兒,我真是氣得不打一處來,但還是耐住性子引導道:你知道在中高考中,什麼樣的孩子最喫虧嗎?


女兒:成績差的!


我:不是!是寫字不工整、醜的!


女兒:有多喫虧?


我:成績差的,是本身就做不出題,不得分,一點不喫虧;而寫字醜的,是明明知道正確答案,卻因爲寫字醜、不工整、潦草,讓閱卷老師難以辨認,最終不得分,你說喫不喫虧!


爲了讓女兒對工整寫字引起重視,文文爸特地查了些資料,找了些案例,家有寫字醜、不工整的孩子家長,可參考提醒孩子。


01、寫字醜,在中高考中很喫虧


在一些像中考、高考、考研等大型考試中,基本上採用的就是“電腦閱卷”。一張試卷平鋪在閱卷老師的電腦屏幕上後,如果你字跡不工整,寫字很醜,被放大到電腦屏幕後,字就會更醜。

雖然閱卷老師會力求公平,但在短時間內要去評判成百上千份試卷,也很難一個字一個字的去分辨。給老師的第一印象不好,上來就扣個卷面分,即使你有李白的文采,可能也無濟於事了。


據一位參加過兩次高考閱卷的老師講述,高考閱卷老師的工作量非常大,一天的閱卷量基本接近千份。


就拿高考作文來說,要求老師閱一篇作文的時間是40多秒,如果你字寫得工整漂亮、卷面整潔,老師一眼能看到亮點,首先印象分就不錯;再看下開頭跟結尾,得高分的幾率自然就大了。

但若你寫得字又醜又亂、難以辨認,給老師的印象可能就是這孩子平時估計學習也不好,一是卷面分當場就飛了;二是找不到得分點,結果可能直接少5分


大家可別小看這5分哦,在“衆人競逐,獨木橋難行”的高考中,一分可能就相差一萬人,5分就相差五萬人了,可能直接決定了你是去985還是211報到了。


在中高考閱卷老師眼中,一般會把卷面分爲三等:扣分兒的、不扣分的、加分的!


•扣分卷面:要麼寫字不清楚,要麼卷面混亂,試問哪個老師能看得下去;

•不扣分卷面:雖然字寫得不漂亮,但勝在寫字工整,卷面整潔,老師能清楚辨認,不影響閱卷;

•加分卷面:寫字工整漂亮,卷面清清爽爽,字跡工整如印刷體,老師看着賞心悅目,都會忍不住給給你高分。

尤其是像語文、英語等需要大量書寫的文科類題目,如果寫字醜、不工整,真的很喫虧!大型考試閱卷有個規定:看不清楚的,都算錯!書寫不工整,可給可不給的分數,字醜通常就不給了。


02、高考中的“神仙卷面”,字跡工整如印刷體


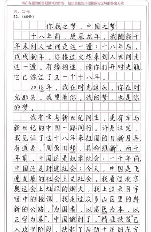
在每年的高考試卷中,都會出現一些“神仙卷面”!比如這位來自深圳中學的溫卓越同學,就曾因爲“神仙卷面”走紅網絡。

查看她的這篇高考作文,首先映入眼簾的就是那工整漂亮,猶如印刷體般的字跡,每個字都如同精雕細琢的藝術品,不僅讓網友們賞心悅目,更讓閱卷老師爲之動容。


很快,這份“神仙卷面”在網上迅速走紅,引發了網友們的熱議,有網友說:這字跡簡直比印刷體還要工整,太讓人佩服了!


還有網友表示:字如其人,能寫出這樣字跡的人,真是難得一見的人才,天生的書法家啊!


很多老師對此也是讚不絕口,一位老師表示:閱卷場上能看到這樣的字跡,是閱卷老師的福氣!這字跡真的是閱卷場上的珍稀,看到就想直接給滿分!

在溫卓越同學後來的採訪中得知,她之所以能夠在高考中寫出如此工整的字跡,並非一蹴而就的。據瞭解,她從小學就開始堅持練字,正是這份持之以恆的努力和長期的積累,使得她在高考時因字跡的工整與優雅而脫穎而出,一舉成名。


03、把字寫好,是一項性價比很高的投資


諾貝爾文學獎獲得者莫言先生說:做人,一定要把字寫好!把字寫好的好處,真的被人低估了!


•孩子寫好字,考試能給老師留下好印象,拿高分


•工作之後,寫字好的人,更容易獲得別人的好感,被人重視


•甚至有些人,會因爲寫字好而改變命運,從乞丐變爲千萬富翁!


你知道“粉筆奇人”崔顯仁嗎?31歲那年駕駛的三輪車柴油桶爆炸,將他的雙手和臉部嚴重燒傷,爲了養家餬口,酷愛寫字的他,開始用燒壞的雙手練習粉筆字,這一練就是10年。

2004年,他開始在大街上寫字賣藝賺錢,以維持生活開支。功夫不負有心人,他漂亮的粉筆字很快走進了大衆的視野,並被收錄到了方正字庫。方正字庫將字體上市後50年的全部利潤交給他,他也因此身價千萬。


文文爸有個小學同學,成績一直不咋樣,後來也沒考上大學,但她寫得一手好字,現在已經是練字輔導班的老師了。


著名主持人倪萍老師說,讓孩子堅持練字的父母,都太聰明瞭!這些孩子不僅字寫得好,定力也特別強。

仔細觀察身邊的孩子,那些成績好的孩子,基本都寫得一手好字!“人生聰明寫字始”,孩子在練字的過程中,既能鍛鍊其專注力、手眼腦協調能力,還能讓練就一個人的定力,這些都是孩子學習好的必備能力。


所以,家有寫字醜的孩子,趕緊練字吧!在大型考試中,不是說你知道自己有多會,而是要讓閱卷老師知道你有多對!你贊同嗎?


聲明:圖片來源於網絡,侵權必刪!

相關推薦
請使用下列任何一種瀏覽器瀏覽以達至最佳的用戶體驗:Google Chrome、Mozilla Firefox、Microsoft Edge 或 Safari。為避免使用網頁時發生問題,請確保你的網頁瀏覽器已更新至最新版本。
Scroll to Top