中國室溫超導已近突破?巴西發現更加震撼?究竟有沒有戲?

來源: 更新:

看到這個動圖,是不是超級震撼了?今天我們來講久違的室溫超導,似乎已經有了很大的進展。總體來說,現在韓國、中國和巴西的研究人員,都宣佈發現了室溫超導,韓國的還是LK-99,說是有改動,但沒提出什麼更多的新東西,他們內部據說也完全亂套了。

中國有多個團隊做出了新的材料,並在arXiv上提交了論文,最震撼的就是這個剛出來的,完全懸空倒懸浮的動圖,視頻還沒有發出來,一位教授認爲已經可以殺死比賽了,意思就是室溫超導基本已經實錘了。

巴西的是手撕熱解石墨,發現了線性缺陷誘導的大於300K的全局超導性,並提出了理論模型,也適用於其他層狀材料,可以尋找更高溫的超導體。下面我就簡單理一下,所謂室溫超導這幾個月來的進展和最新情況。

韓國

韓國LK-99室溫超導去年7月橫空出世,在網上掀起半個多月的熱潮後,最終偃旗息鼓,無疾而終。主流科學界認爲LK-99單晶是透明的絕緣體,根本不可能超導,所謂電阻陡降是硫化亞銅作祟,半懸浮是銅摻雜導致的複雜磁性。但韓國團隊依然我行我素,修修補補,堅稱室溫超導存在,並一直在推進商業化,但團隊據說已四分五裂了。

中國

雖然全球主流學界幾乎不再有任何聲音,尤其是歐美似乎完全不聞不問了,但在熱潮中崛起的幾位中國民間“煉丹”高手,卻逐漸獲得中科院、北科大、華南理工等機構老師的支持和指導,開始轉向正規戰場,相繼煉出了多個類LK-99的半懸浮或疑似全懸浮樣品,雖然採用的是不同方法,測試也在不同的實驗室,但得到的結果卻高度統一。

之後他們聯合在arXiv上發佈論文,明確在250K(-23℃)下檢測到了超導體典型的磁滯回線,認爲在室溫下可能存在邁斯納效應,300K以上仍有很大機會觀察到室溫超導性。只是樣品中信號還非常弱,需進一步合成更多樣品繼續驗證。

然後就是今天剛看到的一個動圖,中國區“煉丹”指導的主力,華南理工大學一位教授發出來的,非常明確的懸空倒懸浮樣品,認爲已經可以殺死比賽了,我想應該就是室溫超導實錘的意思了。從視頻上你也可以看出,似乎完全地釘紮了,如果這都還不是超導,確實很難找到其他解釋了。

那麼你很自然就會想到,去年8月初LK-99熱潮剛出來時,北京科技大學侯小明發的那個視頻,也是清晰的全懸浮,但他很快就刪除視頻,併發了一個莫名其妙的道歉貼,很多人感覺裏面還有故事,不知道未來會不會還有什麼後續。

巴西

巴西的論文最新卻又最早,發表在德國知名出版商Wiley的《先進量子技術》上,作者是巴西聖保羅坎皮納斯州立大學物理學教授,凝聚態物理學博士雅科夫·科佩列維奇,他也是巴西國家科委顧問委員。通訊作者是瓦萊裏·維諾庫爾,凝聚態物理學家,美國物理學會院士,曾長期擔任美國阿貢國家實驗室高級科學家,2021年1月,維諾庫爾開始擔任瑞士量子技術公司Terra Quantum的美國公司首席技術官。

論文標題是《石墨中的全局室溫超導性》,這篇論文實際比LK-99更早,2022年8月1日就投稿到了arXiv,2023年7月19日投到正刊,12月31日才刊發出來,這兩天才引起關注,是不是感覺有點奇怪?這半年居然都沒人把它扒出來,至少從數據上來看,它似乎比LK-99更好看。

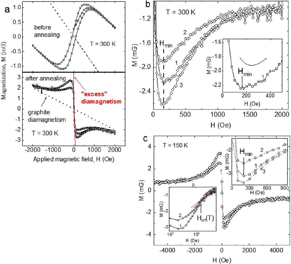
如果這篇論文被驗證,估計又會傳出一段佳話,石墨,沒錯,他們這次仍然是手撕石墨,使用透明膠帶來剝離高定向熱解石墨(HOPG),在表面形成的近平行線性缺陷上,發現了300K下的全局室溫超導現象。維諾庫爾說,這種線性缺陷類似於一組滑輪,在裏面形成了庫珀對,爲超導提供了溫牀。

具體來說,他們用11根間距0.2mm的銀電極測量了表面電阻,在室溫下觀察到了零電阻,這是超導現象的一個明顯標誌。局部和非局部測量結果一致,表明關鍵電流與正常態電阻之間的關係具有普適性。

磁性測量中,他們在300K下測到了超導性M-H磁滯回線數據,和強II型超導體銅氧化物超導體(Bi2Sr2CaCu2O8)極爲相似,超導屏蔽效應及臨界電流隨溫度的振盪都與理論預期相吻合,從而強烈支持室溫超導的存在。

那麼這種超導性是如何產生的呢?研究人員認爲,層狀材料中的線性缺陷會導致強烈的應變波動,這種波動會在局部區域內促使電子配對,形成一種特殊的狀態,他們稱之爲凝聚態液滴(condensate droplets),然後在整個平面上形成類似約瑟夫森結陣列的結構。

所謂約瑟夫森結陣列,是一種由許多超導體組成的網絡,這些超導體之間通過隧道效應相互連接。朋友們可能都還記得,前段時間IBM推出的量子芯片,超導量子比特就是由約瑟夫森結制成的,兩個超導體中間夾一個絕緣薄層,形成類似於三明治的結構。

通過這些隧道連接,凝聚態液滴之間就可以形成全局的超導性,也就是說,整個材料都可以表現出超導性。如果這些凝聚態液滴足夠小,那麼這種超導性可以在相當高的溫度下出現,也就是所謂的室溫超導。注意,這裏說的並不只是石墨,研究人員認爲這個理論模型適用於層狀材料,可以指導人們到哪裏去找更多的室溫超導材料。

那麼現在韓國那邊還在不遺餘力地把LK-99,或者說改進後的類似材料商業化,中國的團隊似乎也板上釘釘發現了室溫超導,現在巴西的科學家又發現層狀材料線性缺陷,可能導致室溫超導的機制,那麼室溫超導是不是真的要呼之而出了呢?

這個恐怕還很難說,目前發現的所謂“室溫超導體”都還在微小尺寸上,拿來做測試都非常困難,各種數據也無法完全排除其他的可能性,樣本也基本是孤立的,理論也似是而非,很難說服人,尤其是科學界,所以到現在都還是民間討論得火熱,業界卻基本沒有任何聲音。

但無論如何,室溫超導都是科學家們追求的終極夢想,也是我們這個時代所急迫需要的,所以如果哪一天,哪怕就是明天,室溫超導體就真正地毫無疑義地出現在我們面前,我們也不必感到驚訝,因爲它早就該來了。

相關推薦
請使用下列任何一種瀏覽器瀏覽以達至最佳的用戶體驗:Google Chrome、Mozilla Firefox、Microsoft Edge 或 Safari。為避免使用網頁時發生問題,請確保你的網頁瀏覽器已更新至最新版本。
Scroll to Top