爲什麼說宇宙中最神祕的整數是137?

來源: 更新:

如果你問一位物理學家,宇宙中最重要的物理學常數是什麼?你恐怕會得到許多答案:光速、普朗克常數、萬有引力常數……

然而,如果我們將問題收窄——宇宙中最重要的整數是什麼?他們的選擇就會集中很多。答案可能是我們生存的3維空間,或者是標準模型中的3代費米子,甚至是超弦理論中的10維時空。

但在這些整數之外,很多物理學家還會提到一個看起來毫無規律的數字——137。甚至有人會將它稱爲宇宙中最神祕的整數

爲什麼是137?這就必須要提到現代物理學中最關鍵的常數之一——精細結構常數。如果沒有這個常數,原子將不復存在,星辰也將熄滅,我們所熟知的物質世界將在瞬間崩塌。

光譜從何而來?

20世紀初,盧瑟福通過金箔轟擊實驗,提出了原子的核式結構模型:原子由原子核和電子組成,原子核在原子的中心,電子繞着原子核不停地轉動,就像地球在軌道上繞着太陽轉。

原子的盧瑟福核式結構模型,原子核在原子的中心,電子繞着原子核轉。(圖片來源:維基百科)

然而,這一模型在經典物理框架下遭遇了挑戰:根據經典電磁理論,做圓周運動的電子應不斷向外輻射能量,最終會因能量耗盡而墜入原子核,這意味着構成物質的原子竟然無法穩定存在!

爲了解決這個問題,丹麥物理學家尼爾斯·玻爾於1913年提出了量子化軌道模型。他大膽假設,電子只能在特定的、分立的軌道上穩定運行,不會輻射能量。

玻爾的模型成功解釋了困擾當時物理學界的一項重要實驗現象——原子光譜。在玻爾之前,物理學家發現原子發射的光並非像彩虹那樣連續,而是由一些孤立、細窄的亮線組成的光譜。每種元素的原子都有其獨特的光譜排布方式,就像原子的“指紋”,但經典理論完全無法解釋這些離散亮線的來源。

“粗結構”的氫原子發射光譜(圖片來源:維基百科)

在玻爾的模型中,這些光譜對應着電子在不同軌道間的躍遷。當電子躍遷時,會吸收或發射特定頻率的電磁輻射。由於電子的軌道是分立的,輻射出的能量頻率也必然是特定的數值,這便完美解釋了氫原子光譜的不連續性。

玻爾的模型首次將量子的概念引入原子結構,初步解釋了氫原子光譜的不連續性,也開啓了通往現代量子力學的大門。

氫原子的玻爾模型,中心是原子核,電子在特定軌道上繞着原子核轉動,當電子從高能級軌道向低能級軌道躍遷時會釋放一定頻率的光。(圖片來源:維基百科)

神祕的分裂

然而,玻爾的氫原子模型並不能與氫原子光譜的實驗結果完全吻合。玻爾模型不僅與當時最精確的光譜測量結果有一些微小的偏差,更關鍵的是,實驗測得的光譜在某些能級似乎分裂成了兩個,而玻爾模型則只預言了一個。這些分裂的微小能級被稱爲原子的精細結構。

真實的氫原子光譜序列,包括多個精細結構(圖片來源:Wikipedia)

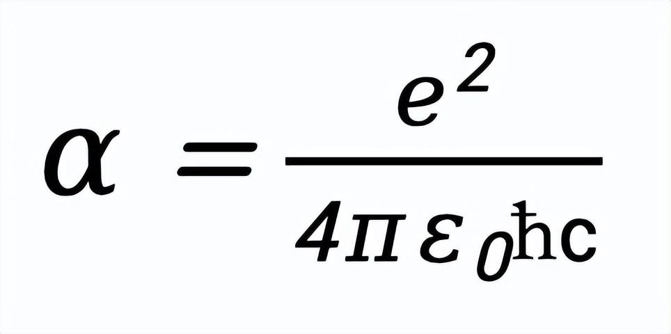
1916年,德國物理學家阿諾德·索末菲進一步發展了玻爾模型。爲了解釋氫原子光譜的精細結構,索末菲考慮了電子的相對論效應,並在方程推導過程中得到了一個常數——氫原子第一軌道電子速度與光速之比,並將其稱之爲精細結構常數α

其中,e是電子所帶的基本電荷,ε0是真空介電常數,ħ是約化普朗克常數,c是光速。

阿諾德·索末菲(圖片來源:Wikipedia)

令人驚歎的是,雖然在現代量子力學看來,索末菲使用的模型並不準確,但他的計算結果與實驗測得的光譜分裂非常吻合,精細結構常數也就此進入了物理學界的視野。

決定世界結構的常數

一開始,精細結構常數只是一個爲了解釋實驗現象而引入的一個小小的修正項。然而,隨着物理理論的快速發展,這個常數的重要性帶到了前所未有的高度。

1928年,狄拉克將薛定諤方程和狹義相對論結合,提出了狄拉克方程。由此求解出的氫原子結構的能級分裂結果,自身就帶有精細結構常數。狄拉克證明了,氫原子的精細結構其實就是電子自旋與軌道運動相互作用的必然體現,而精細結構常數剛好描述了這個相互作用的強度。

保羅·狄拉克和狄拉克方程(圖片來源:Mathematics Learning)

狄拉克方程對於玻爾的氫原子模型能級進行了修正,解釋了萊曼α線爲何會分裂爲雙線

而在物理學的後續發展中,精細結構常數更是起到了舉足輕重的作用。爲了精密描述四大基本相互作用的電磁相互作用,物理學家發展了量子電動力學的理論,其中精細結構常數正是描述電磁相互作用強度的耦合常數。

在量子電動力學中,帶電粒子通過交換光子發生電磁相互作用

按照量子電動力學的理論,你眼前的屏幕發光、你的神經信號傳導、甚至是最簡單的觸摸一個物體,只要有帶電粒子和光子要發生相互作用,強度大小都要通過精細結構常數來決定。

就像萬有引力常數、普朗克常數等支撐物理世界的基石一樣,如果精細結構常數的數值稍微變大或者變小一點點,恆星內部的核聚變就會變得不穩定,化學鍵的結構也會發生根本性的變化,生命可能根本無法演化。所以,精細結構常數不僅僅是一個數字,它某種程度上支撐了我們所知的宇宙物質結構。

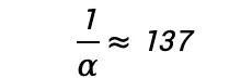
爲什麼是137?

回到精細結構常數這個數字本身,我們通過公式計算可以得到:

α=0.0072973……

神奇的是,如果對α取倒數,會發現非常接近一個整數:137。

137,這不僅是一個整數,還是一個質數,似乎很少出現在物理學或生活場景中。它爲何會出現在這裏?

從表達式

還可以看出,精細結構常數是多個物理學常數的組合。其中基本電荷e來自四大相互作用之一的電磁相互作用,約化普朗克常數ħ來自量子力學,真空中的光速c來自相對論。

更重要的是,精細結構常數是一個無量綱常數——它沒有單位,只有純數值,就像數學中的圓周率π一樣,在不同的單位制下始終如一。無論是用米制還是英制,無論你是地球人還是火星人,在宇宙的任何一角落,精細結構常數的倒數都約等於137。

一個不隨人類選取單位制而改變的無量綱常數,竟然能把當今幾大物理學理論都聯繫在了一起,倒數還是一個神祕的、看似憑空出現的整數137。從提出以來,精細結構常數和137就引起了無數頂尖物理學家的好奇。

在玻爾和索末菲之後,很多大家耳熟能詳的著名物理學家都曾經沉迷於研究精細結構常數的本質——海森堡、泡利、狄拉克、玻恩……傳說泡利病重住院時仍然癡迷於精細結構常數,他的助手去醫院探望他,病牀上的泡利提醒助手注意他的病房號——“137”,後來他正是在這個病房內去世了。泡利還曾留下了這段評論:

“當我死後,我問魔鬼的第一個問題將是:精細結構常數的真正含義是什麼?”

歷史上,物理學家曾試圖從第一性原理出發,通過純理論推導得到精細結構常數,但這些嘗試也都失敗了。理查德·費曼爲此而抓狂:

“所有優秀的理論物理學家都將這個數貼在牆上,爲它大傷腦筋……它是物理學中最大的謎之一。……你也許會說‘上帝之手’寫下了這個數字,而我們不知道他是怎樣下的筆。”

泡利(左)和費曼(右)都曾爲精細結構常數的本質而着迷(圖片來源:Wikipedia)

冥冥之中,物質世界似乎並不想讓人類直接依靠純理性推出“真相”,那麼科學家只能通過實驗的手段逐步推進對這個世界的認識。

人類測量最精確的常數

實際上,經過多年的精密測量,物理學家已經確認精細結構常數α的倒數並不嚴格等於137。2020年,法國的卡斯特-布羅塞爾實驗室發文公佈了目前精細結構常數α最精確的測量結果:

1/α=137.035999206(11)

這個結果的準確度達到萬億分之81,相當於測量出地球到月球的距離,誤差不到一根頭髮絲。正因爲如此誇張的精密程度,精細結構常數已經成爲人類歷史上測量最精確的物理學常數之一

有些“遺憾”的是,這個結果同時表明,精細結構的倒數是137也許只是一個美妙的巧合,而非宇宙對於137這個整數有所偏愛。

精細結構常數的歷史測量數據的彙總與對比。圖中紅色數據點代表基於電子反常磁矩的測量結果,藍色與綠色數據點代表基於原子反衝的測量結果。最下方藍色數據點爲目前最精確的測量結果。(圖片來源:Morel et al., Nature 2020)

爲什麼物理學家要追求對精細結構常數的精確測量?因爲它在基礎物理的各個領域中隨處可見。作爲描述電磁相互作用強度的耦合常數,精細結構常數是檢驗諸多物理學理論正確性的關鍵。

還有一個更重要的問題是,精細結構常數真的是“常數”嗎?它在宇宙的演化過程中,或在不同的時空位置,是否會發生變化?萬一它是變化的,那麼現代物理學大廈將會崩塌。

一種檢驗方法是將目光放到深邃的太空中。宇宙中遙遠的類星體發出的光穿過瀰漫在宇宙中的氣體雲後,一些頻率的光被氣體雲吸收。我們在地球上測量類星體光譜中的吸收線,就可以得到幾十億到上百億年前精細結構常數的信息。

澳大利亞的研究團隊通過對類星體光譜的研究指出,至少目前來看,在實驗誤差範圍內精細結構常數沒有隨時間發生變化。

在地球上接收類星體的光譜可以測量精細結構常數。(圖片來源:ESO)

科學家對精細結構常數的測量一定會持續下去,或許新的測量結果就會成爲基礎物理學下一場重大革命的起點。無論如何,實驗是我們揭開謎底的唯一途徑。

作爲普通人,我們應當慶幸精細結構常數恰巧是現在這個大小,慶幸它的倒數恰好接近137——正是這個數值,使得電磁相互作用維持在一個合適的強度,使得原子和分子可以穩定存在,使得我們的宇宙和地球得以穩定運行,使得作爲讀者的你能夠讀到這篇文章。


作者簡介

覃拈,武漢大學物理學博士。
矩陣星,科普作者。

相關推薦
請使用下列任何一種瀏覽器瀏覽以達至最佳的用戶體驗:Google Chrome、Mozilla Firefox、Microsoft Edge 或 Safari。為避免使用網頁時發生問題,請確保你的網頁瀏覽器已更新至最新版本。
Scroll to Top