評估一個人胖瘦程度,“圓度指數”算的更準確

來源: 更新:

判斷胖不胖,不能只看外形,幾十年來,體重指數一直被視爲衡量體重的國際標準。

但近年,科學家認爲只用BMI衡量體重,可能誤判個體健康狀況。近日,北京中醫藥大學等機構學者、歐洲肥胖研究協會均推出更精準科學的測量方法。

《生命時報》邀請專家,解讀如何判斷肥胖,並教你科學“達標”。

“圓度指數”評估體重更準

北京大學人民醫院內分泌科主任醫師羅櫻櫻表示,用BMI評估體重,有兩方面的侷限性。

  • BMI只反映受測者體重和身高的關係,難以區分體重中脂肪和肌肉的比例。在某一特定的體重指數下,不同個體的體成分可能有很大差異。
  • BMI無法反映脂肪在身體中的分佈位置。體脂肪可分爲皮下和內臟兩種,內臟脂肪增加和代謝性疾病風險增高相關。有研究顯示,人羣平均的BMI在不同種族、性別和年齡段之間有顯著差異。

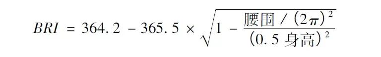
近日,北京中醫藥大學等機構學者在《美國醫學會雜誌:網絡開放》刊文稱,身體圓度指數(BRI)能更準確衡量體質水平。根據相關研究,BRI小於3.4的成年人全因死亡率增加了25%,BRI在6.9及以上的成年人全因死亡率增加了49%。

BRI由美國研究人員於2013年創建,主要基於身高和腰圍來估算,算法爲:

如果一位男士腰圍0.85米、身高1.8米,他的BRI爲3.59。該數值越高,意味着內臟脂肪堆積越明顯。(點擊測試

研究顯示,BRI可更有效地預測與脂肪分佈相關的健康風險,如心血管疾病、2型糖尿病等。

但它仍有侷限性,首先BRI目前還缺乏更廣泛的研究數據,難以確定其有效性和適用範圍,需進一步臨牀驗證和推廣應用。其次,與BMI相比,它的算法複雜,應用不夠簡便。

判斷胖不胖的幾個標準

久坐不動、壓力大、喫飯太快、長期睡眠不足、飲食不規律等等人羣,更易肥胖。可以初步通過以下幾個指標,判斷你該不該減肥。

1腰圍

測量時要站立,雙腳分開30釐米,測量部位要平臍,用軟尺緊貼皮膚,但不能壓迫。

北京大學第一醫院內分泌內科主任醫師袁振芳表示,中國男性正常腰圍應小於90釐米、女性小於85釐米,超過該範圍,就屬於腹型肥胖。

2腰臀比

筆直站立,輕輕吸氣,用捲尺測量腰圍與最凸出臀圍。世衛組織建議,腰臀比男性大於0.9、女性大於0.85就要及時管理體重。

3體重指數

體重指數(BMI)= 體重(千克)/身高(米)的平方。按照我國的標準,BMI在18.5~24之間,爲正常體重;超過24爲超重,超過28爲肥胖。

近期,歐洲肥胖研究協會提出,在考慮BMI時,可加入腰高比(腰圍除以身高)和身體健康狀態,共同判斷是否肥胖。

鑑於對BMI在25及以上、腰高比大於0.5,同時存在機體功能、心理障礙或併發症的個體,建議按肥胖進行醫學管理,因爲有較高代謝性疾病風險。

4體脂率

一般來說,男性體脂率高於25%,女性高於30%屬於肥胖,會引發高血壓、高脂血症、冠心病、糖尿病等。男性體脂率低於5%,女性低於13%,可能引起身體功能失調。要想獲得精準的體脂率,需要運用專業的體脂儀。

如何讓圓度指數達標

生活中,要改善體重和健康狀況,關鍵在於採取健康的生活方式。

01學會增加飽腹感

控制食慾,能減少多餘熱量的攝入,一些小的改變有助增加飽腹感:

  • 早飯喫夠蛋白質,如一個雞蛋或一杯牛奶。
  • 午餐與晚餐之間可喫點水果或堅果。
  • 喫飯前先喝湯,每餐中要保證一定量的膳食纖維,如糙米、紅薯、燕麥、鮮香菇等。
  • 若自身條件允許,可把鍛鍊的時間放在晚飯前進行,運動後喝點水,食慾就不會太強。

02當心熱量陷阱

避免含糖飲料,果汁飲料的隱性能量也不容忽視,水果飲料加工時,利於健康的粗纖維大量流失,還會加入糖,更會讓人長胖。

03每天運動1小時

光靠控制飲食,減肥或許太痛苦,也不易堅持,因此結合運動非常重要。

早上鍛鍊對減肥更有效,早上做45分鐘中高強度運動,可幫助身體在一天裏多消耗190千卡。

04經常監測體重

隨時觀察體重變化,研究發現,準備減肥的人,每天稱體重者一年減掉體重的3%,且一年後仍能保持減下來的體重;不常稱體重者幾乎沒變化。

05保持足夠睡眠

缺覺是導致肥胖的一個危險因素,醒着的時候多攝入的能量(每天約300千卡)會讓基礎代謝率下降,增加餓素分泌。

美國運動科學院院士、美國伊利諾伊大學終身教授朱爲模爲減肥者提醒,減肥太快太猛,身體基礎代謝率會下降,飢餓感增強。世衛組織建議,每週減肥0.5~1公斤,一個月減1~3公斤,“勻速”減肥對身體損傷小且不易反彈。

通過運動和飲食控制半年以上,仍然不能有效降低體重的人,建議通過諮詢醫生,遵醫囑通過藥物治療等手段減肥。▲

本期編輯:王曉晴

相關推薦
請使用下列任何一種瀏覽器瀏覽以達至最佳的用戶體驗:Google Chrome、Mozilla Firefox、Microsoft Edge 或 Safari。為避免使用網頁時發生問題,請確保你的網頁瀏覽器已更新至最新版本。
Scroll to Top