超級世紀大戰!世錦賽上海杯開幕,唐丹孟繁睿孟辰王禹博領銜衝霸

來源: 更新:

棋壇世紀超級大戰,世錦賽和上海杯齊集滬上,在大上海演繹最爲巔峯的雙龍戲珠,雙賽同決,來自全球二十多個國家和地區的超兩百位特級大師、象棋大師、天才少星、國際名手、巾幗女將火力爭霸。


9月22日下午一點起,至27日,每天下午一點、晚上七點,世錦賽、上海杯雙賽同時上映,王者之戰,逐鹿天下,誰能一舉殺出,分奪兩項頂級賽會總冠軍,勇獲金牌榮耀,象棋王子抖音號全程直播。


上海,是全國棋壇的重要領軍地和前沿地,棋壇首席泰斗,十四冠王、“象棋司令”胡榮華橫空出世,15歲斬獲全國冠軍,55歲再奪王冠金盃,十四次折桂,十連霸,曠古絕今。


近年,上海連辦了包括上海杯在內,個人賽、亞洲盃、大棋聖戰、超霸賽、總決賽等衆多賽會,引領弈林。


今年,上海杯的正賽期間,與世錦賽雙賽同起,繼1999年之後,上海時隔二十六年再辦世錦賽,達到滬上辦賽的新高度和新傳奇,創造更大的高峯。


2025年農行杯第十九屆世界象棋錦標賽暨第五屆世界青少年象棋錦標賽暨第三屆世界象棋快棋公開賽,由世界象棋聯合會主辦。


國家體育總局棋牌運動管理中心、中國象棋協會、上海市體育局、上海市體育總會、上海市嘉定區人民政府承辦。


上海棋院(上海市棋牌運動管理中心)、上海市嘉定區體育局、上海市嘉定區南翔鎮人民政府、上海市象棋協會、上海市嘉定區體育總會、上海市棋牌文化研究中心、上海智枰體育賽事策劃有限公司協辦。


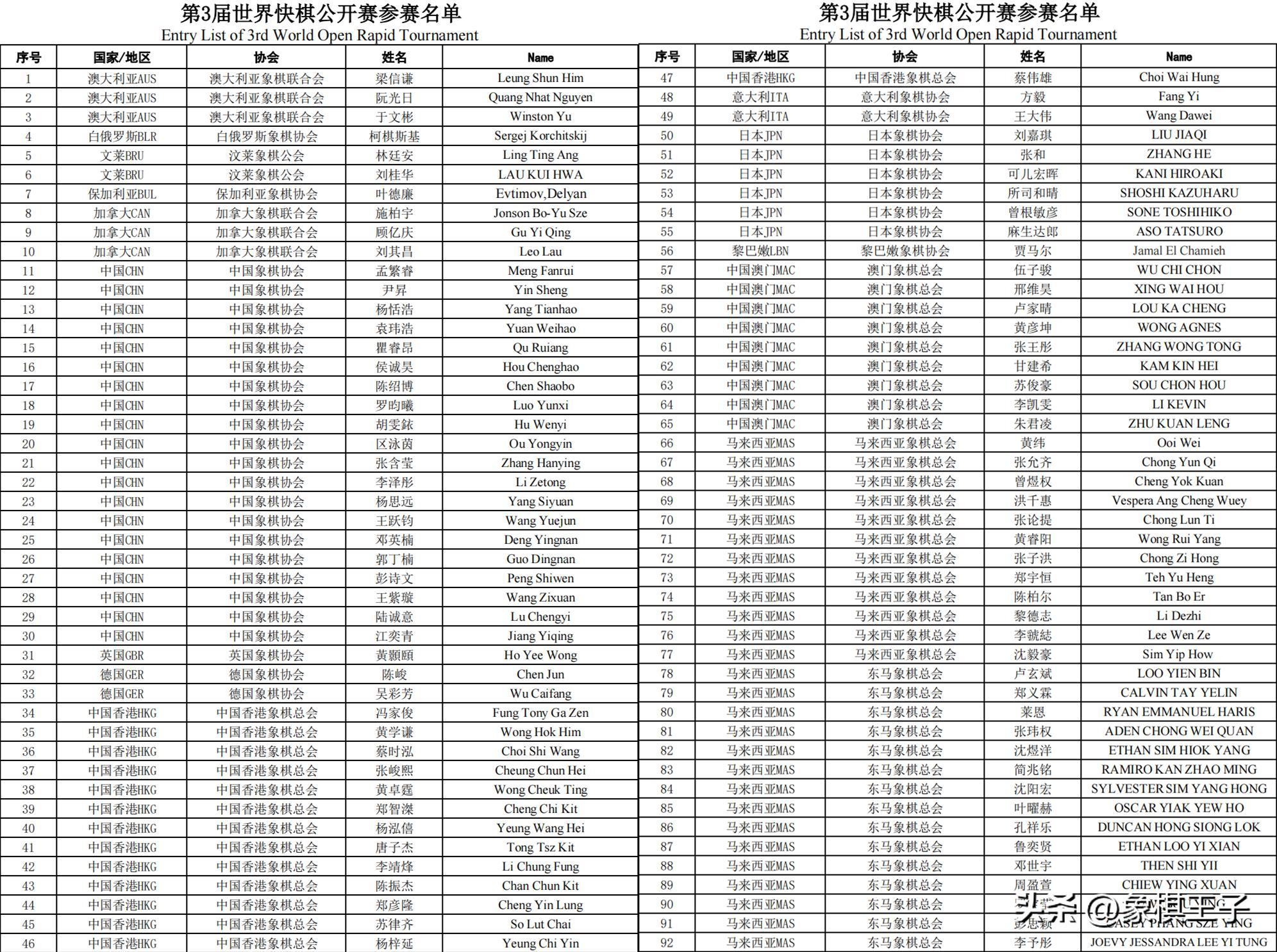
賽會來自中國隊、越南隊、美國隊、德國隊、意大利隊、俄羅斯隊、日本隊、英國隊、澳大利亞隊、白俄羅斯隊、文萊隊、加拿大隊、中國香港隊、中國澳門隊、中國臺北隊、印尼隊、馬來西亞隊、東馬隊、緬甸隊、荷蘭隊、菲律賓隊、黎巴嫩隊、保加利亞隊、新加坡隊、泰國隊等,二十多個國家和地區的棋手參賽。

中國國家象棋隊由賀鳳翔、蓋紅豔,張強、金海英,分別爲領隊、教練,男子棋手孟繁睿、尹昇,女子棋手唐丹、陳麗淳。

U16男子楊恬浩、袁瑋浩、瞿睿昂、侯誠昊、陳紹博,U16女子羅均曦、胡雯銥、區泳茵、張含瑩、李澤彤,U12男子楊思遠、王躍鈞、鄧英楠、郭丁楠,U12女子彭詩文、王紫璇、陸誠意、江奕青。


領隊、教練、棋手,二十六人的大陣容本土出戰,勢在奪取包括男女個人、團體,U16-U12男女在內的八項冠軍和金牌,及公開快棋桂冠。

比賽中國隊主要競爭對手有越南隊雙雄,賴理兄、阮成保,以及黃學謙、馮家俊、黎德志、吳宗翰、莊宏明、葛振衣、吳蘭香、譚氏垂容、喬碧水、林嘉欣、梁瑋珊等各方名將。


賽會男子組執行8+1戰法,八輪後,前兩名進行冠亞軍決賽,女子組,U16、12女子,採用七輪積分制,U16、12男子,九輪制。

比賽時間22至25日,每天下午一點、晚上七點,進行一輪,27日下午一點大決戰,26日爲快棋賽。


本番中國隊男子組考驗較大,08年孟繁睿和05年的尹昇,以準特大之身,世錦賽個人前八、團體前三升爲特級大師。


對決現海外第一人越南猛將賴理兄和前海外一哥阮成保,以及多位戰隊強手,將全力發揮,爭取把冠軍金盃留在中國。


女子組中,女子象棋歷史第一人、九冠王、超級丹唐丹和粵軍棋後、全國冠軍陳麗淳,雙特大加持,奪取女子金牌希望極大。


唐丹奪金,一姐將第四度登頂世界冠軍寶座,實現個人榮耀的進一步昇華,陳麗淳奪魁,將首獲世界棋後金座。


在前十八屆世錦賽中,男子呂欽(5)、許銀川(3)、王天一(3)、趙國榮、徐天紅、趙鑫鑫、蔣川、鄭惟桐、徐超、孟辰。


女子唐丹(3)、胡明(2)、王琳娜(2)、郭莉萍(2)、張心歡、黃玉瑩、林野、金海英、高懿屏、伍霞、尤穎欽、賈丹、左文靜、唐思楠,分別奪冠。

與世錦賽同期舉行的上海杯,開賽時間幾乎類似,22-24日,每天下午一點、晚上七點,進行一輪小組賽,25日休戰,26日下午一點,四強半決賽,27日下午一點,與世錦賽同步冠軍總決賽。


第五屆上海杯象棋大師公開賽,由中國象棋協會、上海市體育局、上海市體育總會、上海市嘉定區人民政府主辦。


上海棋院、上海市嘉定區體育局、上海市嘉定區南翔鎮人民政府、上海市嘉定區體育總會承辦,上海市象棋協會、上海市棋牌文化研究中心、上海智枰體育賽事策劃有限公司協辦。


賽會設獎高達近百萬,其中男子冠軍20萬,亞軍12萬,季軍7萬,殿軍5萬,各組2至6名,1萬,0.8、0.7、0.6、0.5萬。


女子桂冠10萬,亞軍6萬,季軍3.5萬,殿軍2.5萬,各組3至6名,0.7、0.6、0.5、0.4萬。


比賽男子二十四大將,孟辰、蔣明成、何文哲、王禹博、趙攀偉、蔣融冰、馬惠城、王昊、許文章、茹一淳、劉子健、劉明、門志灝、張蘭天、張彬、劉柏宏、卓贊烽、陳泓盛、楊世哲、劉奕達、程宇東、於幼華、華辰昊、顧博文。

女子十二巾幗,左文靜、唐思楠、王文君、李沁、胡家藝、梁妍婷、王子涵、時鳳蘭、董毓男、陳幸琳、王琳娜、董嘉琦。

賽事採取先分組,再淘汰的複合戰法,男子24人分四個組,每組六人5輪單循環,各組第一進淘汰賽,半決賽、決賽,女子12人分兩組,每組六人5輪單循環,各組前兩名進淘汰戰,半決賽、決賽,殺出總冠軍。


在前四屆上海杯中,男子王天一、呂欽、謝靖、曹巖磊,女子唐丹、王琳娜、陳幸琳、梁妍婷,分別稱霸。

賽前,舉行了世錦賽及上海杯的開幕儀式,世界象棋聯合會主席霍震霆,國家體育總局棋牌運動管理中心主任、中國象棋協會主席賀鳳翔,上海市體育局局長徐彬,嘉定區委書記肖文高、區長高香,上海市體育局副局長宋慧,農行上海市分行副行長奚佳音,中國象棋協會副主席單霞麗等領導與嘉賓,及全體參賽棋手,領隊、教練等出席。

隨後的技術會議上,上海杯各組抽籤結果,世界棋王孟辰以預賽第一領銜預定A組,男子組A組六將:孟辰、楊世哲、劉子健、顧博文、馬惠城、門志灝;B組六人:於幼華、劉柏宏、蔣明成、陳泓盛、王昊、茹一淳;C組六將:劉奕達、許文章、華辰昊、何文哲、蔣融冰、張彬;D組六人:王禹博、程宇東、趙攀偉、劉明、張蘭天、卓贊烽。

女子組A組六將:王琳娜、陳幸琳、左文靜、梁妍婷、時鳳蘭、王文君;B組六人:唐思楠、董嘉琦、董毓男、王子涵、李沁、胡家藝。


看棋壇世紀超級大戰,世錦賽、上海杯雙峯同起,來自二十多個國家和地區的超兩百位特大、大師、強將、名手、少星雲集上海,演繹棋界弈林巔峯盛會,中國隊孟繁睿、尹昇、唐丹、陳麗淳能否勇奪世錦賽男女冠軍,上海杯孟辰、王禹博等誰能豪取二十萬大獎,斬獲超級金盃,9月22日下午一點起,象棋王子也將對世錦賽和上海杯進行雙賽的全程直播與報道(抖音:象棋王子),與棋友一起共見精彩大戰,敬請關注、支持、守護,謝謝!


(象棋王子)

相關推薦
請使用下列任何一種瀏覽器瀏覽以達至最佳的用戶體驗:Google Chrome、Mozilla Firefox、Microsoft Edge 或 Safari。為避免使用網頁時發生問題,請確保你的網頁瀏覽器已更新至最新版本。
Scroll to Top