何爲“地表最強雙槓”?

來源: 更新:

北京時間8月5日,在巴黎奧運會體操男子雙槓決賽中,鄒敬園發揮出色得到16.200分,獲得金牌,捍衛了“雙槓王”的名號。

圖自中國國家隊微博


“雙槓之王”“地表最強雙槓”……太多的名頭,似乎都訴說着鄒敬園在雙槓上無與倫比的天賦。

01

斷層領先

這是一場沒有懸念的比賽,在當地時間今天下午結束的巴黎奧運會雙槓決賽上,衛冕冠軍鄒敬園在一連串剛勁有力、飄逸瀟灑的高難度動作之後,如雄鷹歸來般穩穩落地,全場爆發的熱烈掌聲就是對這位世界雙槓之王的最好肯定。

網友評論

裁判打出的16.200高分是本屆奧運會雙槓比賽上其他運動員難以企及的高分。26歲的鄒敬園完成了中國曆代“雙槓王”夢寐以求的願望——實現奧運衛冕。

自從在2017年體操世錦賽上首次奪得雙槓冠軍以來,鄒敬園就成爲了當今世界男子雙槓賽場上神一般的存在。既有超高的難度,又有無可挑剔的完成質量,鄒敬園將人類迄今爲止在雙槓項目上所能追求的極限演繹到極致。16分,這個對於其他體操選手來說幾乎就是無法逾越的高山峻嶺,對於鄒敬園來說,卻是對自己的最低要求。

02

“完美主義者”的失敗

鄒敬園永遠不會忘記2019年的世錦賽。

來到德國斯圖加特,他只有一個目標——世錦賽雙槓三連冠。可誰都沒有想到,最終的結局卻是一地雞毛。

在資格賽他就出現失誤,最終只排名第16位,連決賽都沒有進。理想和現實的巨大落差,讓鄒敬園有些崩潰。教練說,比賽後他回去痛哭了一場。

在此之前,鄒敬園似乎一直順風順水。

2017年,首次參加世錦賽,面對里約奧運冠軍維尼亞耶夫等強手,他就以超高的難度拿到冠軍,震驚世人;一年之後,他以16.433分的“巨分”衛冕成功,成爲世錦賽歷史上第五個蟬聯雙槓冠軍的選手。

這樣強勢的表現,征服了“五金王”鄒凱,他用“教科書般的動作”來形容師弟的表現;內村航平也對鄒敬園讚不絕口,“只有機器人,才能做出這樣的動作。”

圖自鄒敬園微博


至此之後,鄒敬園就開始去追求這種“完美”。每次動作都要做好,要比別人做得更好,下一次要比這一次更好……而這種“完美主義者”的超高標準,也無形中給他的失敗埋下了伏筆。

在斯圖加特,以他的難度,如果正常比,三連冠是板上釘釘。可鄒敬園卻給了自己不一樣的壓力,想嘗試更高的難度和更完美的成套。他知道很多眼睛都在盯着他,他想展示出最好的一套。

沒有了爲比賽而戰鬥的精神,卻把比賽變成了個人英雄主義的舞臺。結果是,物極必反。事後回憶起來,他也承認,“太想表現好,反而會出問題。”

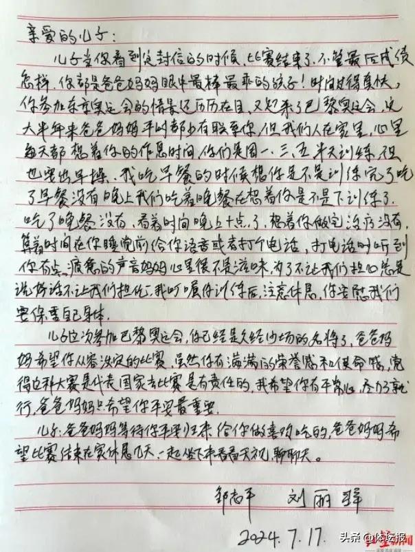
鄒敬園父母寫給兒子的家書


03

“雙槓的神”如何誕生

中國男子體操誕生雙槓王鄒敬園絕非偶然。

自從2000年悉尼奧運會以來,中國選手一直都是奧運賽場雙槓金牌的最有力競爭者。在2000年悉尼奧運會以來的七屆奧運會上,中國選手奪取了五屆奧運會的雙槓金牌。目前雙槓的奧運歷史最高得分16.475分也是由中國選手黃旭保持,是黃旭在參加2008年本屆奧運會體操男團決賽時創造,但當屆奧運會的雙槓冠軍屬於另一位中國選手李小鵬,這也從一個側面顯示出中國雙槓的實力與人才厚度

圖自鄒敬園微博


李小鵬曾在2000年悉尼、2008年北京兩次奪得奧運會雙槓冠軍,是中國第一位兩獲雙槓奧運冠軍的選手。

鄒敬園今天成爲第一位在奧運會上實現雙槓衛冕的中國運動員,而放眼百年奧運的雙槓項目,歷史上也僅曾有過一名運動員達成這一成就。

帶着個人的夢想與團隊的榮譽,鄒敬園今天穩穩地將這枚奧運金牌收入囊中,自信從容、風度翩翩,盡顯王者之氣。



來源:中國青年報、澎湃新聞

相關推薦
請使用下列任何一種瀏覽器瀏覽以達至最佳的用戶體驗:Google Chrome、Mozilla Firefox、Microsoft Edge 或 Safari。為避免使用網頁時發生問題,請確保你的網頁瀏覽器已更新至最新版本。
Scroll to Top